熱線:021-66110810,66110819
手機:13564362870

熱線:021-66110810,66110819
手機:13564362870
Modelling biogeochemical processes in sediments from the north western Adriatic Sea: response to enhanced POC fluxes
模擬亞得里亞海西北部沉積物的生物地球化學過程
來源:Biogeosciences Discuss.10.5194/bg-2017-206
論文摘要
本論文摘要指出,海洋軟沉積物中的擾動梯度會影響物種行為、相互作用及生態系統功能。本研究結合了兩種不同類型的生物地球化學模型與野外采樣工作,旨在探究北大西洋亞得里亞海西北部一個長繩貽貝養殖場作為局部擾動源,對自然顆粒有機碳(POC)沉降通量的影響。首先,通過一個包含沉積物捕集器數據的水體POC沉降模型,量化了由養殖場引起的POC通量。然后,通過約束一個早期成巖模型(該模型與沉積物孔隙水的新數據相關聯),研究了這種通量增加對沉積物生物灌溉能力和有機質(OM)降解途徑的影響。測量在受養殖場沉積影響區內外站點進行。模型預測的POC通量顯示出顯著的時空變異性,主要與養殖周期動態相關。兩個站點(養殖區內和區外)的沉積物捕集器數據顯示,背景POC通量平均為20.0-24.2 mmol C m?2 d?1。兩站點間的POC通量差異與模型結果一致,在3.3至14.2 mmol C m?2 d?1之間,主要與貽貝的生理狀況相關。盡管POC通量的變化有限,但仍對沉積物生物地球化學產生了可見影響。觀測到的氧氣微剖面顯示,在POC通量較高的養殖區下方站點,氧氣滲透深度(OPD)減少了50%(從2.3毫米降至1.4毫米),同時O2吸收通量增加(19-31 對比 10-12 mmol O? m?2 d?1)。溶解無機碳(DIC)和銨(NH??)濃度有類似變化趨勢,且在養殖區下方生物灌溉效應更明顯。通過約束早期成巖模型證實了這一點,模型校準估算出養殖區沉積物足跡內的生物灌溉率更高(40 年?1 對比 區外的20 年?1)且灌溉深度更淺(15厘米 對比 20厘米)。早期成巖模型結果表明,貽貝養殖區下方的有機質礦化總量更大(18.7 對比 11.1 mmol C m?2 d?1),但兩個站點的有氧與厭氧降解途徑比例相似,養殖區下方由OM降解和還原性物質再氧化消耗的氧氣絕對值增加。
研究目的
本研究的主要目的在于:
量化局部POC通量:評估貽貝養殖場作為局部擾動源,所引起的POC沉降通量的時空變異,特別是其與養殖周期(如 stocking, harvest)和環境因子(水溫、葉綠素a)的關系。
評估生物地球化學響應:探究POC通量增加對下層沉積物生物地球化學過程的影響,重點關注有機質礦化速率、氧化還原條件(特別是氧氣動態)以及營養鹽(DIC, NH??, SO?2?)的再生。
闡明關鍵機制:從機制上理解養殖場影響沉積物功能的途徑,特別是生物灌溉這一關鍵生物擾動過程在調節沉積物-水界面交換中的作用,并比較養殖區與參照區有氧氧化與厭氧還原(如硫酸鹽還原)等礦化途徑的相對重要性。
開發與驗證模型方法:通過耦合水體沉積模型(模擬POC來源與運輸)和早期成巖模型(模擬沉積物內部反應),并利用現場觀測數據(沉積物捕集器、孔隙水化學、氧氣微剖面)進行校準和驗證,建立一個能夠定量評估局部擾動對海岸帶沉積物生物地球化學影響的綜合方法框架。
研究思路
本研究采用了“模型預測 - 現場觀測 - 模型驗證與機理解析”的綜合研究思路:
水體過程模擬與通量預測:首先,建立一個貽貝種群動態與POC沉積模型。該模型結合了貽貝個體生理模型(模擬生長、糞便和假糞產生)和拉格朗日粒子追蹤模型,利用長期環境數據(水溫、葉綠素a、海流)作為驅動,預測養殖場產生的POC在海底的沉降通量及其空間分布(沉積足跡)和時間變化。
現場觀測與數據收集:在模型預測的高沉積通量區(IN1站)和背景參照區(EST1站)進行同步野外采樣。采集的數據包括:
沉降通量:使用沉積物捕集器在養殖周期初期和末期測量實際的POC沉降通量,用于驗證模型預測結果。
沉積物孔隙水化學:采集沉積柱樣,分析孔隙水中的溶解氧(O?)、溶解無機碳(DIC)、銨(NH??)和硫酸鹽(SO?2?)的垂直剖面。
沉積物物理特性:測量沉積物的孔隙度。
高分辨率原位化學測量:使用丹麥Unisense微電極測量沉積物-水界面附近的溶解氧(O?)微剖面,以高空間分辨率確定氧氣滲透深度和梯度。
早期成巖模型校準與機理分析:使用早期成巖模型(EDM)來模擬沉積物中的生物地球化學過程。模型使用現場觀測的孔隙水化學剖面(O?, DIC, NH??, SO?2?)進行校準,通過調整關鍵參數(如有機質輸入通量、生物灌溉速率和深度),使模型模擬結果與實測數據吻合。通過比較養殖站(IN1)和參照站(EST1)的模型校準結果,定量揭示POC通量增加對沉積物代謝(總礦化率)、生物灌溉強度和有機質降解途徑的影響。
數據整合與結論推導:將模型預測的通量、現場測量的通量和孔隙水化學、以及模型反演的參數(如生物灌溉率)進行整合對比,綜合評估貽貝養殖對沉積物生物地球化學過程的整體影響,并闡明其內在機制。
測量數據及其研究意義
研究測量了多個方面的數據,其意義和來源如下(數據均引用自文檔中的圖表和文本描述):
模型預測的POC沉降通量(量化養殖場的擾動強度)
測量/預測指標:通過貽貝種群動態與沉積模型預測的有機碳(POC)在海底的沉降通量空間分布圖和時間序列。
研究意義:圖4展示了模型預測的POC通量在養殖周期內不同時間點的空間分布。結果顯示,養殖場下游形成了一個清晰的“沉積足跡”,通量顯著高于背景值,并且通量隨貽貝生長(時間)而增加。這直接量化了養殖場作為局部POC“點源”的強度、范圍及其時間動態,為后續研究沉積物響應提供了定量的驅動因子。模型結果與沉積物捕集器數據(見下)的吻合,增強了預測的可靠性。

數據來源:圖4及正文中關于模型模擬結果的描述。
沉積物捕集器測量的POC通量(驗證模型并提供地面實況)
測量指標:在養殖區內(IN1, IN2)和參照區(EST1, EST2)站點,通過沉積物捕集器測量的總懸浮顆粒物(TSS)通量、有機碳含量(Corg%)和POC通量。
研究意義:正文中表1的數據顯示,在養殖周期末期(2014年8月),養殖區內的POC通量(IN1: 34.2 mmol C m?2 d?1)顯著高于參照區(EST1: 20.0 mmol C m?2 d?1),差異達14.2 mmol C m?2 d?1。而在周期初期(2015年9月),差異不顯著(3.3 mmol C m?2 d?1)。這獨立地驗證了模型關于養殖場增強POC沉降的預測,并證實了這種增強效應具有季節性,與養殖活動周期一致。這些實測數據是校準和驗證水體沉積模型的關鍵。

數據來源:正文中 “Sediment traps measurements”部分及 Table 1。
孔隙水化學剖面(揭示沉積物內部反應過程)
測量指標:通過沉積柱采樣和孔隙水提取獲得的溶解無機碳(DIC)、銨(NH??)、硫酸鹽(SO?2?)隨沉積物深度的濃度變化剖面。
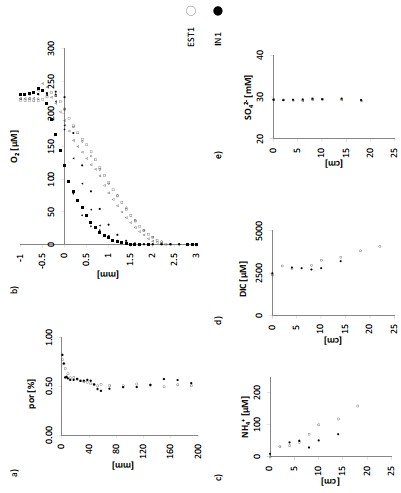
研究意義:圖5c-e展示了DIC、NH??和SO?2?的剖面。數據顯示,在養殖區站點(IN1),DIC和NH??在表層沉積物中的濃度梯度變化與參照站(EST1)有所不同,特別是在上部10厘米內,IN1站點的濃度增加相對平緩,表明生物灌溉作用更強烈,將富含DIC和NH??的孔隙水與上覆水混合稀釋。SO?2?剖面在IN1站點下部顯示出更明顯的消耗,暗示了更強的硫酸鹽還原活動。這些剖面為早期成巖模型提供了關鍵的校準數據,用以量化礦化速率和途徑。

數據來源:圖5c, d, e。
沉積物物理特性(提供反應傳輸的背景參數)
測量指標:沉積物的孔隙度隨深度的變化。
研究意義:圖5a顯示了兩站點的孔隙度剖面。孔隙度是計算溶質在沉積物中擴散系數的關鍵參數,直接影響模型中對物質擴散通量的模擬精度。站點間孔隙度的差異可能反映沉積物組成對養殖沉積的響應,是模型設置中重要的物理輸入參數。
數據來源:圖5a。
早期成巖模型校準結果(定量揭示生物地球化學參數)
測量/推算指標:通過校準早期成巖模型,得到的生物灌溉速率(α?)、灌溉深度(x???)、總有機質礦化速率以及不同電子受體(O?, NO??, SO?2?)在礦化中的相對貢獻。
研究意義:模型校準結果(總結于正文的 Table 2)表明,養殖區站點(IN1)的生物灌溉速率(40 年?1)遠高于參照站(EST1, 20 年?1),且灌溉深度更淺(15厘米 vs 20厘米)。同時,IN1站點的總礦化速率更高(18.7 vs 11.1 mmol C m?2 d?1)。盡管兩站點有氧氧化和硫酸鹽還原的比例相似(~30% vs ~68%),但IN1的絕對值更大。這些結果定量地證實了POC輸入增加刺激了底棲生物活動(生物灌溉),并整體上加速了沉積物的代謝活動。

數據來源:正文中 “Early diagenesis model calibration”部分及總結性的 Table 2。
研究結論
貽貝養殖顯著增強局部POC通量:模型和沉積物捕集器數據均證實,貽貝養殖場導致其下游一個有限區域內(約距養殖場邊緣50-200米)的POC沉降通量顯著增加(最高可達背景值的2倍),且此通量具有明顯的季節和年際變化,與貽貝生理活動及環境條件緊密相關。
POC通量增加改變沉積物氧化還原狀態:Unisense微電極測量的氧氣剖面(圖5b)直接證明,POC通量較高的養殖區站點(IN1)其氧氣滲透深度(OPD)顯著變淺(減少50%),而氧氣消耗通量幾乎翻倍。這表明增加的有機質輸入加劇了沉積物表層的耗氧過程,使氧化層變薄。
生物灌溉是關鍵的響應機制:早期成巖模型校準結果(Table 2)揭示,養殖區下方的沉積物具有更強(速率翻倍)且更淺的生物灌溉活動。這得到了獨立的大型底棲動物群落調查數據的支持(IN1站多樣性、豐度和個體體型均更高)。強烈的生物灌溉活動有助于將氧氣泵入沉積物,同時將代謝產物(如DIC、NH??)交換出來,從而顯著改變孔隙水的化學組成和梯度(圖5c-e),并影響整體的礦化路徑。
總代謝增強但礦化途徑比例相對穩定:盡管養殖區下方的總有機質礦化速率提高了約68%,但有氧氧化和硫酸鹽還原等主要礦化途徑的相對比例在兩個站點間相似。這意味著有機質輸入的增加主要是在量級上全面激活了沉積物的代謝能力,而非質上改變其優勢降解途徑。然而,由于通量基數大,養殖區由還原性物質(如硫化氫)再氧化所消耗的氧氣絕對值也更高。
模型耦合方法的有效性:本研究成功演示了耦合水體生物地球化學模型與沉積早期成巖模型的方法,能夠定量解析局部擾動(如養殖活動)對海岸帶沉積物生態系統功能的影響,為海洋空間管理和生態系統影響評估提供了有力的工具。
丹麥Unisense電極測量數據的研究意義
在本研究中,丹麥Unisense氧微電極是直接、原位、高分辨率地揭示沉積物對有機質輸入響應機制不可或缺的關鍵工具,其研究意義至關重要:
提供了氧化還原狀態的“黃金標準”測量:Unisense微電極能夠以亞毫米級的分辨率(尖端直徑100μm)直接測量沉積物-水界面附近的溶解氧濃度剖面(圖5b)。這種原位測量方式最大限度地減少了對沉積物結構的擾動,提供了關于沉積物表層氧化還原邊界位置和形狀的最真實信息。這是通過鉆探取芯后分層提取孔隙水進行測量所無法比擬的。
精準量化了關鍵功能參數:氧氣滲透深度(OPD)和耗氧率:通過分析氧氣微剖面(圖5b),研究者可以精確確定氧氣滲透深度(OPD),即氧氣濃度降至零的深度。本研究中最關鍵的發現之一——養殖區站點(IN1)的OPD(1.4 mm)比參照站(EST1)的OPD(2.3 mm)減少了約50%——完全依賴于Unisense電極的高分辨率數據。此外,利用菲克第一定律,根據界面附近的氧氣梯度可以計算出擴散性氧氣吸收速率(DOU)。數據顯示IN1站的DOU(19-31 mmol O? m?2 d?1)顯著高于EST1站(10-12 mmol O? m?2 d?1),直接證明了有機質輸入增加導致沉積物耗氧加劇。
為模型校準提供了不可替代的約束條件:早期成巖模型(EDM)的可靠性嚴重依賴于高質量的校準數據。Unisense電極測量的氧氣剖面是校準模型中最敏感、最重要的數據集之一。模型需要準確地模擬出觀測到的OPD和界面氧氣梯度。圖6中模型模擬與實測氧氣剖面的良好吻合,證明了模型參數化(如有機質降解速率常數、生物灌溉參數)的合理性。沒有Unisense電極提供的精確OPD和梯度數據,模型的校準將存在很大不確定性,其關于生物灌溉和礦化途徑的結論說服力也會大打折扣。
揭示了物理-生物-化學過程的耦合關系:OPD的變淺和DOU的增加,是POC輸入增加導致微生物和化學耗氧加劇的直接證據。這一簡單的物理化學測量結果,卻綜合反映了有機質礦化這一核心生物地球化學過程的強度。將Unisense的數據與孔隙水DIC、NH??剖面(圖5c,d)結合,可以清晰地勾勒出這樣一個圖像:更多POC輸入 → 更強烈的礦化(耗氧增加) → 更淺的氧化層(OPD變淺)。Unisense電極在此起到了連接“因”(POC輸入)和“果”(孔隙水化學變化)的橋梁作用。
支持了“生物灌溉作用增強”的推論:雖然Unisense直接測量的是氧氣,但其結果間接支持了關于生物灌溉的結論。養殖區站點(IN1)在OPD顯著變淺(意味著化學耗氧極強)的情況下,依然維持了較高的氧氣通量,這暗示存在非擴散性的氧氣輸送途徑,即生物灌溉。動物通過建造和沖洗洞穴,將含氧水帶入沉積物深處,從而在局部創造氧化微環境,并總體上增加沉積物的總耗氧量。Unisense數據是推斷這一重要生物過程存在的起點和重要佐證。
綜上所述,丹麥Unisense氧微電極在本研究中扮演了“沉積物新陳代謝聽診器”的角色。它提供的高分辨率氧氣數據,使研究者能夠“看透”沉積物-水界面,直接監測到沉積物“呼吸”的強度和深度。沒有這項技術,關于貽貝養殖影響沉積物氧化狀態和早期成巖過程的結論將缺乏最直接、最令人信服的實驗證據。因此,該技術的應用是成功實現從“通量測量”到“機制闡明”這一跨越的核心環節。