熱線:021-66110810,66110819
手機:13564362870

熱線:021-66110810,66110819
手機:13564362870
Upper limits to body size imposed by respiratory-structural trade-offs in Antarctic pycnogonids
呼吸結構權衡對南極海蜘蛛體型上限的限制
來源: Proceedings of the Royal Society B: Biological Sciences, 2017, Volume 284, Issue 1865
《皇家學會學報B:生物科學》,2017年,第284卷,第1865期
摘要
論文摘要指出,呼吸氣體交換表面在動物中具有多樣性,其大小隨體型縮放。與具有專門呼吸器官的脊椎動物不同,許多海洋無脊椎動物依賴皮膚呼吸,其體表兼具氣體交換和結構支持雙重功能。本研究以南極海蜘蛛為模型,測量了其體表面積、角質層厚度、氧擴散系數和氧梯度等參數。結果顯示,表面積和角質層厚度呈等速增長,但二者組合的縮放無法匹配代謝率的縮放。為彌補這一差異,大型海蜘蛛通過維持更陡的氧梯度和更高的有效擴散系數來滿足代謝需求。這些縮放組分的相互作用導致了體型的硬性上限,海蜘蛛只有通過氣體交換方式的進化創新才能突破這一限制。
研究目的
研究目的是探究依賴皮膚呼吸的動物如何平衡氣體交換和結構支持的雙重需求,并揭示其呼吸通量縮放與代謝率縮放的關系。具體目標是驗證是否所有菲克定律組分都隨體型縮放,以及這種縮放如何決定海蜘蛛的體型上限。
研究思路
研究思路基于菲克擴散定律,構建氧通量模型。首先,收集12種南極海蜘蛛樣本,測量其代謝率、體表面積、角質層厚度等形態參數。然后,使用丹麥Unisense氧微電極系統測量角質層的氧擴散系數和內部氧水平,計算氧梯度。通過統計和系統發育分析,確定各參數與體重的縮放關系。最后,將實測代謝率與基于菲克定律計算的氧通量進行比較,并外推參數極限以預測體型上限。
測量的數據及研究意義
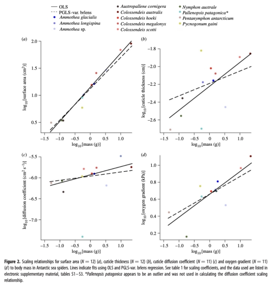
1. 體表面積數據:來自圖2a和表1,表面積隨體重縮放指數為0.63。研究意義:表明海蜘蛛體型增長時表面積增長緩慢,限制了氣體交換能力,這與其皮膚呼吸方式的結構約束一致。


2. 角質層厚度數據:來自圖2b和表1,厚度縮放指數為0.27。研究意義:顯示大型個體需要更厚的角質層以提供結構支持,但這會增加氣體擴散阻力,凸顯呼吸與結構功能的權衡。
3. 氧擴散系數數據:來自圖2c和表1,擴散系數縮放指數為0.20。研究意義:表明大型海蜘蛛通過增加角質層孔隙率提高擴散效率,這是適應皮膚呼吸的重要調節機制。
4. 氧梯度數據:來自圖2d和表1,氧梯度縮放指數為0.27。研究意義:反映大型個體維持更高的驅動壓差以促進氧擴散,是補償表面積不足的關鍵策略。
5. 氧通量與代謝率數據:來自圖3和表1,計算通量縮放指數為0.83,實測代謝率縮放指數為0.80。研究意義:證實所有菲克組分協同縮放才能匹配代謝需求,挑戰了脊椎動物中僅表面積和厚度主導縮放的傳統觀點。

結論
論文結論表明,南極海蜘蛛的皮膚呼吸系統存在呼吸與結構功能的權衡。與脊椎動物不同,其氧通量縮放需要所有菲克組分協同調整,而非僅依賴表面積和厚度。大型個體通過提高擴散系數和氧梯度補償交換面積不足,但氧梯度參數首先達到物理極限,將體型上限限制在約300克。這揭示了呼吸結構權衡對體型進化的關鍵作用,并強調不同類群呼吸系統的進化路徑差異。
使用丹麥Unisense電極測量數據的研究意義
使用丹麥Unisense電極測量數據的研究意義在于其提供了高精度的氧動力學基準,直接支撐了菲克定律模型的關鍵參數計算。Unisense的Clark式氧微電極用于兩方面測量:第一,在擴散系數實驗中,電極插入海蜘蛛腿內部,實時監測外部氧壓階躍變化下的內部氧動態,從而計算角質層的功能擴散系數;第二,在內部氧水平測量中,電極直接測定活體海蜘蛛腿內部的氧分壓,結合環境氧壓計算驅動梯度。這些數據不僅驗證了擴散模型的可靠性,還揭示了擴散系數和氧梯度隨體型縮放的現象。Unisense電極的高靈敏度使研究人員能夠捕捉低溫環境下微小的氧壓變化,避免了傳統方法的干擾。此外,電極數據為確定體型上限提供了關鍵依據:氧梯度縮放外推顯示在300克時達到理論極限,與實際最大海蜘蛛體重吻合。因此,Unisense電極的使用不僅強化了實驗的量化嚴謹性,還直接推動了體型限制理論的驗證,為理解呼吸系統進化提供了可靠的技術支撐。