熱線:021-66110810,66110819
手機:13564362870

熱線:021-66110810,66110819
手機:13564362870
Effect of carbonized apple wood on nitrogen-transforming microorganisms and nitrogen oxides in soil of apple tree root zone
碳化蘋果木對蘋果樹根區土壤中氮轉化微生物和氮氧化物的影響
來源: European Journal of Soil Science, Volume 69, May 2018, Pages 545-554
《歐洲土壤科學雜志》,第69卷,2018年5月,第545-554頁
摘要
摘要闡述了本研究探討碳化蘋果木(CAW)作為生物炭對蘋果樹根區土壤中氮轉化微生物和氮氧化物(如一氧化氮NO和氧化亞氮N2O)的影響。通過盆栽實驗,應用不同用量的CAW(0、5、10、20和40 g kg?1),發現CAW能改變微生物功能基因(如Anammox、amoA、nirS和nirK)的豐度,并減少NO和N2O濃度。適量CAW(如10 g kg?1)可提高土壤微生物生物量,調節氮轉化過程,從而減少溫室氣體排放。研究強調了CAW在農業土壤中 mitigating 環境問題的潛力。
研究目的
研究目的是確定不同用量碳化蘋果木(CAW)對蘋果樹根區土壤中氮轉化微生物和氮氧化物的影響。具體目標包括評估CAW如何改變微生物功能基因的豐度、調節氮循環過程,以及減少氮氧化物排放,從而為可持續農業實踐提供依據。
研究思路
研究思路包括進行盆栽實驗,使用2年生富士蘋果樹,土壤中施加不同用量的CAW(0、5、10、20和40 g kg?1)。實驗設計為隨機區組,重復三次。測量指標包括土壤微生物生物量碳、氮、磷(MBC、MBN、MBP)、氮轉化功能基因豐度(通過定量PCR)、土壤氮形式(如硝酸鹽氮、亞硝酸鹽氮、銨態氮)、以及NO和N2O濃度(使用丹麥Unisense微電極系統進行原位測量)。通過冗余分析和相關性分析,探討CAW與土壤變量之間的關系。
測量的數據及研究意義
1 微生物生物量數據:包括微生物生物量碳(MBC)、氮(MBN)和磷(MBP),數據來自表2。研究意義是這些數據反映土壤微生物活性變化,CAW應用(尤其是10 g kg?1)顯著增加微生物生物量,表明CAW能改善土壤健康,增強養分循環。

2 氮轉化功能基因豐度數據:包括Anammox基因、氨氧化古菌(AOA)和細菌(AOB)的amoA基因、以及反硝化基因nirS和nirK的拷貝數,數據來自圖2。研究意義是基因豐度變化揭示CAW對氮轉化微生物的抑制或促進效應,例如適量CAW減少基因豐度,可能降低氮氧化物產生,為理解微生物機制提供依據。

3 土壤氮形式數據:包括硝酸鹽氮(NO3--N)、亞硝酸鹽氮(NO2--N)和銨態氮(NH4+-N)含量,數據來自表3。研究意義是CAW改變氮形態分布,如減少NO3--N并增加NH4+-N,表明CAW影響硝化和反硝化過程,有助于減少氮損失。

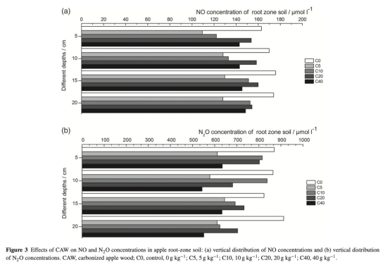
4 氮氧化物濃度數據:包括NO和N2O在土壤中的垂直分布濃度,數據來自圖3。研究意義是CAW應用顯著降低NO和N2O濃度,直接顯示CAW在減少溫室氣體排放方面的作用,為評估環境效益提供關鍵證據。

5 酶活性數據:包括硝酸還原酶(NR)和亞硝酸還原酶(NiR)活性,數據來自表3。研究意義是酶活性變化反映氮轉化過程的強度,CAW影響這些酶,進一步解釋氮氧化物減少的生化途徑。
6 冗余分析數據:顯示土壤變量與功能基因豐度的關系,數據來自圖4。研究意義是RDA揭示CAW如何通過改變土壤性質(如MBC、NO2--N)影響微生物群落,突出環境因子的交互作用。

結論
1 CAW應用改變土壤微生物群落和氮轉化過程,適量CAW(如10 g kg?1)增加微生物生物量,減少硝酸鹽氮含量,并調節功能基因豐度。
2 CAW顯著降低蘋果樹根區土壤中的NO和N2O濃度,表明其在減少溫室氣體排放方面的有效性,最佳用量為10 g kg?1。
3 冗余分析和相關性分析證實,土壤變量(如微生物生物量碳和亞硝酸鹽氮)與功能基因豐度密切相關,CAW通過影響微生物活動間接調控氮氧化物產生。
使用丹麥Unisense電極測量數據的研究意義
使用丹麥Unisense電極(如NO-500和N2O-N微電極)測量NO和N2O濃度數據具有重要研究意義。這些電極提供高精度、原位實時監測,能直接捕捉土壤中氣體的垂直分布和動態變化(如圖3所示)。研究意義在于:首先,電極數據允許高分辨率測量(如每2小時一次),揭示CAW應用后NO和N2O濃度的即時減少,增強了對氣體產生時空規律的理解;其次,原位測量避免了樣品擾動,數據更可靠地反映了根區微環境,與微生物活動(如反硝化基因豐度)結合,驗證了CAW通過抑制微生物過程減少氮氧化物的機制;最后,這種技術為評估生物炭在實地條件下的環境效益提供了準確工具,支持農業減排策略的開發。