熱線:021-66110810,66110819
手機:13564362870

熱線:021-66110810,66110819
手機:13564362870
Feasibility of using basalt fiber as biofilm Carrier to construct bio-nest for wastewater treatment
使用玄武巖纖維作為生物膜載體構建生物巢用于廢水處理的可行性
來源:Chemosphere, Volume 212, 2018, Pages 768-776
《化學圈》,第212卷,2018年,第768-776頁
摘要
摘要部分闡述了本研究評估了使用玄武巖纖維(BF)作為生物膜載體形成球狀聚集體(稱為生物巢)的可行性,用于廢水處理。通過比較有BF載體(R-BF)和無載體(R-CO)的反應器,研究了營養物去除、氧質量傳輸、生物活性以及生物膜吸附特性。結果表明,BF載體能實現高水平的碳和氮去除,化學需氧量(COD)和氮去除率分別達90%和84.15%,同步硝化反硝化(SND)率為95.22%。微電極測量顯示氧能滲透到生物巢核心(深度達50mm),且活細菌在60mm深度被檢測到。傅里葉變換紅外光譜(FTIR)分析表明,胞外聚合物(EPS)中的多糖和蛋白質功能團在聚集BF形成生物巢中起關鍵作用。BF作為載體介質在廢水處理中具有潛力。
研究目的
研究目的是評估玄武巖纖維(BF)作為生物膜載體在廢水處理中的可行性,特別是構建生物巢以實現高效碳和氮去除,并探討氧傳輸、細菌活性以及EPS在生物巢形成中的作用,為開發新型載體介質提供理論依據和實踐支持。
研究思路
研究思路基于設置兩臺反應器:一臺裝有BF載體(R-BF),另一臺無載體作為控制(R-CO),使用合成廢水在不同COD:N比(從100:20到100:5)下運行210天。通過監測COD、NH4-N和TN的去除效率,評估生物巢的性能。使用微電極系統測量溶解氧(DO)微剖面,確定氧在生物巢中的傳輸特性;通過共聚焦激光掃描顯微鏡(CLSM)和Live/Dead染色分析細菌活性;利用FTIR分析BF表面的EPS功能團,揭示生物膜吸附機制。數據采集包括水質參數、氧濃度剖面、細菌活性圖像和光譜特征,并結合統計分析和比較驗證結果。
測量的數據及研究意義
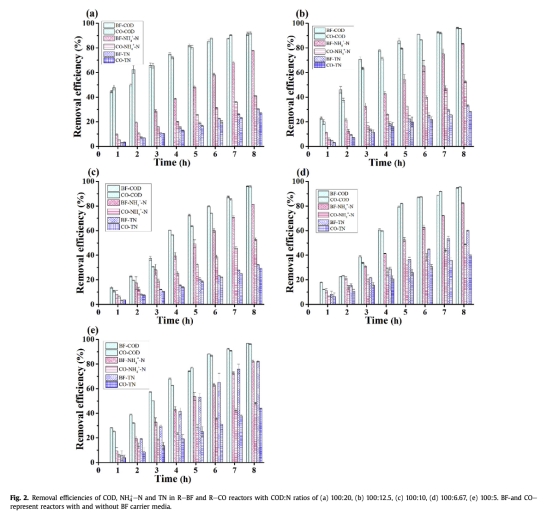
1 數據:COD、NH4-N和TN的去除效率,來自Fig.2。研究意義:這些數據顯示R-BF反應器在所有COD:N比下均能高效去除COD(超90%),且氮去除率顯著高于R-CO反應器(最高TN去除率82.07%),證明BF載體能增強同步硝化反硝化能力,為廢水處理提供更高效的生物膜系統。

2 數據:DO濃度隨生物巢深度的微剖面,來自Fig.3。研究意義:微電極測量顯示DO能滲透到50mm深度,且濃度波動表明氧傳輸在厘米尺度不受限,這揭示了生物巢內部的好氧環境支持微生物活動,挑戰了傳統生物膜厚度限制的認知。

3 數據:細菌活性通過Live/Dead染色的共聚焦圖像,來自Fig.4。研究意義:圖像顯示即使在60mm深度也有活細菌分布,表明生物巢在深層仍保持生物活性,這證實了BF載體能支持厚生物膜的可持續性,對廢水處理中的生物量保留和效率提升至關重要。

4 數據:生物膜吸附特性和EPS功能團分析,來自Fig.5和Fig.6。研究意義:SEM圖像顯示BF被生物膜緊密包裹,FTIR光譜揭示EPS中的多糖和蛋白質功能團(如C=O、C-N)在吸附和交叉鏈接BF中起主導作用,這解釋了生物巢結構穩定性的機制,為載體設計提供了分子水平見解。


結論
1 BF作為生物膜載體能形成厘米尺度的生物巢,實現高效碳和氮去除,COD去除率超90%,TN去除率最高達82.07%,表明其在廢水處理中具有優越性能。
2 氧傳輸在生物巢內部不受限,微電極測量顯示DO能到達50mm深度,支持了好氧和厭氧微生物的共存,增強了同步硝化反硝化能力。
3 細菌活性在生物巢深層(如60mm)仍被檢測到,證明BF載體能維持厚生物膜的生物活性,突破了傳統生物膜的厚度限制。
4 EPS中的多糖和蛋白質功能團是關鍵吸附因子,通過FTIR分析證實它們促進了BF的聚集和生物巢穩定性,為優化載體材料提供了方向。
使用丹麥Unisense電極測量數據的研究意義
使用丹麥Unisense電極測量數據的研究意義在于,該微電極系統(如OX-10型)通過高精度自動化測量生物巢內的溶解氧(DO)微剖面,提供了對內部微環境的空間解析。在本文中,微電極用于繪制DO濃度隨深度變化的曲線(Fig.3),步長設為200μm,數據通過Unisense數據采集系統記錄。這種測量意義在于:首先,它直接量化了氧的滲透能力,顯示DO能到達50mm深度,且濃度波動(從4.3 mg/L到0 mg/L)表明氧傳輸在厘米尺度不受擴散限制,這解釋了生物巢如何支持深層微生物的好氧代謝。其次,微電極數據驗證了生物巢的分層結構,好氧和厭氧區共存,這對于同步硝化反硝化(SND)過程至關重要,因為硝化需要氧而反硝化需要厭氧條件。最后,該技術指導了樣本采集位置(如不同深度切片),使后續CLSM和活性分析能 targeted 進行,避免了傳統方法的盲目性,為研究厚生物膜提供了可靠工具。總之,Unisense電極數據將物理氧傳輸與生物學響應鏈接,深化了對生物巢功能的理解,并支持了BF載體在廢水處理中的可行性論證。