熱線:021-66110810,66110819
手機:13564362870

熱線:021-66110810,66110819
手機:13564362870
Changes in ultrastructural features of the foraminifera Ammonia spp. in response to anoxic conditions: Field and laboratory observations
浮游蟲屬氨體在缺氧環境下的超微結構變化:實地與實驗室觀察結果
來源:Marine Micropaleontology 138 (2018) 72–82
一、論文摘要
本研究通過野外調查和實驗室控制實驗,結合透射電子顯微鏡(TEM)觀察,揭示了淺水有孔蟲 Ammoniaspp.(包括未知系統型和T6系統型)在應對缺氧環境時發生的細胞超微結構變化。研究發現,在缺氧條件下,有孔蟲細胞會積累脂滴,且脂滴的大小(可超過5μm)和數量可能隨缺氧持續時間增加而增加,同時細胞質電子密度降低。此外,在一些樣本中觀察到脂滴出現在質膜與有機內襯(organic lining)之間的空隙中,細胞質內存在完整的細菌和電子致密不透明體,有機內襯也可能增厚。這些超微結構的變化被認為是Ammoniaspp. 對不利缺氧環境的應激反應,表明其可能通過進入休眠狀態或降低新陳代謝來在缺氧環境中生存。
二、研究目的
本研究的主要目的是通過觀察有孔蟲Ammoniaspp. 的細胞超微結構,來揭示其對缺氧環境的生理適應策略和生存機制。具體而言,研究旨在:
比較從自然環境中(荷蘭瓦登海含氧和缺氧沉積物)采集的Ammoniaspp. 的超微結構差異。
通過實驗室控制培養(含氧與缺氧條件),驗證野外觀察到的結構變化是否由缺氧直接引起。
識別與缺氧應激相關的關鍵超微結構特征(如脂滴、細菌、細胞器變化),從而推斷有孔蟲在低氧環境下的生理狀態(如是否進入休眠)。
三、研究思路
研究采用了 “野外觀察”與“實驗驗證”相結合的思路:
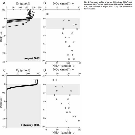
野外采樣:從荷蘭瓦登海Mokbaai潮灘采集沉積物巖心,使用丹麥Unisense氧微電極測定孔隙水的氧氣垂直剖面,以確定有孔蟲的微棲息地氧化還原狀態(圖2)。從表層(0-1 cm,通常為含氧)和深層(7-10 cm,為缺氧)沉積物中分離出活的Ammoniasp.(系統型未知)個體。

實驗室培養:從日本東京灣和法國Aiguillon灣采集Ammoniasp.(系統型T6),在實驗室中進行含氧和缺氧培養(實驗1、2、3)。
樣品處理與觀察:將野外和實驗室獲得的活體有孔蟲固定、脫水、包埋并制成超薄切片,使用透射電子顯微鏡(TEM)進行觀察和拍照(方法細節見表1和表2)。

對比分析:系統比較來自含氧環境(野外表層樣本、實驗室含氧培養)和缺氧環境(野外深層樣本、實驗室缺氧培養)的有孔蟲在脂滴、細胞質密度、細菌存在、細胞器形態等方面的超微結構差異(圖3至圖8)。






四、測量的數據、來源及研究意義
研究測量了多方面的數據,這些數據及其意義如下:
孔隙水化學數據(數據來自圖2):
數據:使用Unisense微電極測量的溶解氧(O?)垂直剖面,以及硝酸鹽(NO??)和銨鹽(NH??)的濃度深度分布。
研究意義:這些數據精確界定了有孔蟲在野外的實際生存環境。數據顯示氧氣滲透深度極淺(<0.5-1 cm),證實從深層(7-10 cm)采集的有孔蟲確實長期生活在缺氧環境中。硝酸鹽和銨鹽的數據提供了氮循環的背景信息,有助于理解潛在的厭氧代謝(如反硝化)環境。
超微結構觀察數據(數據主要來自圖3至圖8):
數據:通過TEM觀察獲得的定性描述和圖像證據,包括脂滴的大小和分布、細胞質的電子密度、線粒體等細胞器的形態、細菌的存在與形態、有機內襯的厚度等。
研究意義:這是本研究的核心數據。這些直觀的圖像證據直接揭示了缺氧脅迫下有孔蟲細胞內部發生的生理變化。
脂滴積累和增大(圖5, 圖6):這被解釋為一種典型的細胞應激反應,可能是能量儲存形式改變或脂肪酸代謝紊亂的標志。
細胞質電子密度降低(對比圖3/4與圖5):表明細胞質可能被消耗,支持了有孔蟲在缺氧下進入低代謝休眠狀態的假說。
細菌內生體的出現(圖7):僅在缺氧樣本中發現完整且正在分裂的細菌,暗示了有孔蟲與微生物之間在缺氧條件下可能存在特殊的互利共生或代謝合作關系。
有機內襯增厚等變化(圖8):可能是一種物理保護機制,抵御不良環境。
五、研究結論
缺氧引發顯著的應激反應:Ammoniaspp. 在缺氧條件下表現出清晰的超微結構應激標志,最主要的是脂滴的積累和增大。
生存策略是休眠或代謝降低:細胞質變薄、細胞器活動減少等跡象表明,有孔蟲在缺氧環境下很可能降低了新陳代謝率并進入休眠狀態,以此延長生存時間,而非進行活躍的厭氧代謝。
細菌內生體可能發揮重要作用:缺氧條件下有孔蟲細胞質內特異性出現的細菌,表明其可能在幫助宿主適應缺氧環境(如參與氮、硫循環)中扮演關鍵角色,但其具體功能仍需進一步研究。
缺氧并非其最適生境:盡管Ammoniaspp. 能通過上述策略在缺氧中存活,但所有的超微結構變化都表明這是一種非理想的、受壓狀態,證實了缺氧環境對其而言是脅迫環境。
六、詳細解讀使用丹麥Unisense電極測量出來的數據有什么研究意義
本研究中使用丹麥Unisense氧微電極(OX-100型) 測量的數據具有至關重要的意義,它是連接宏觀環境與微觀細胞響應的關鍵橋梁。
精確界定有孔蟲的體內微棲息地:傳統的采樣方法只能大致估計沉積物的氧化還原分層。而Unisense微電極能夠以高空間分辨率(100-200 μm) 測量孔隙水中溶解氧的垂直剖面(圖2)。這使得研究者能夠精確知道每個有孔蟲個體在被固定前所處的真實氧氣環境——是嚴格缺氧(O? = 0)還是微含氧。這種精確性對于后續將超微結構變化與特定的氧化還原條件直接關聯起來至關重要,避免了因棲息地誤判而導致的錯誤結論。
為實驗室實驗提供可靠的環境控制與監測:在實驗室培養實驗中(實驗1, 2, 3),Unisense微電極被用來實時監測和確認培養容器中的氧氣濃度,確保“缺氧”處理組確實達到了目標缺氧水平(如O? < 0.5 mg/L),而“含氧”對照組保持充足的氧氣供應。這保證了實驗條件的可控性和可重復性,使得觀察到的超微結構差異能夠明確地歸因于氧氣 availability 的變化,而非其他未知因素。
將細胞水平的響應與生態系統過程聯系起來:通過微電極剖面,研究者發現瓦登海沉積物的氧氣滲透深度很淺,但深層缺氧區仍有硝酸鹽生成(圖2),這表明沉積物中存在復雜的生物地球化學過程(如硝化/反硝化)。這種環境背景信息有助于理解和解釋為什么在缺氧環境中,有孔蟲可能需要與具有特殊代謝功能(如反硝化)的細菌共生,為在超微結構水平上觀察到的細菌內生體現象(圖7) 提供了合理的生態學背景。
綜上所述,丹麥Unisense氧微電極的應用,使本研究從傳統的相關性描述,上升到了機制性的因果探索。它提供了確鑿的環境證據,確保了野外觀察和實驗室實驗的嚴謹性,從而有力地支撐了關于有孔蟲Ammoniaspp. 通過改變細胞超微結構進入休眠狀態以耐受缺氧這一核心結論的可靠性。