熱線:021-66110810,66110819
手機:13564362870

熱線:021-66110810,66110819
手機:13564362870
Effects of CO2 enrichment on benthic primary production and inorganic nitrogen fluxes in two coastal sediments
沿海沉積物中CO2富集對底棲生物初級產量和無機氮通量的影響
來源:Scientific Reports(2018年)
論文總結
1. 摘要核心內容
研究了海洋酸化(CO2富集)對兩種沿海沉積物—河口砂(estuarine sand)和亞潮汐淤泥(subtidal silt)—中底棲初級生產和無機氮通量的影響。通過實驗室培養實驗,作者發現CO2富集(pH從8.1降至7.9)顯著增強了底棲微藻的光合作用,并逆轉了沉積物-海水的硝酸鹽/亞硝酸鹽(NOx-)通量方向。在淤泥中,NOx-從初始的 efflux(釋放)轉變為 influx(吸收),而河口砂則釋放更多銨(NH4+)。這些變化表明CO2富集可能通過增強微藻生長,競爭NH4+并抑制硝化作用,導致無機氮在沉積物中滯留,從而加劇沿海富營養化壓力。
2. 研究目的
本研究的主要目的是:
量化CO2富集的影響:評估海洋酸化對沉積物-海水界面氧氣(O2)和無機氮(NH4+和NOx-)通量的影響。
揭示機制:探究底棲微藻光合作用增強如何改變氮循環過程,特別是與硝化作用和反硝化作用的耦合。
比較沉積物類型:對比滲透性河口砂和 cohesive 亞潮汐淤泥對CO2擾動的響應差異,以預測不同沿海環境的生物地球化學變化。
3. 研究思路
研究采用實驗室控制實驗設計:
樣品采集與處理:從新西蘭北島沿海采集河口砂和亞潮汐淤泥的完整巖心,在實驗室中 submerged 于再循環海水系統(圖1)。系統分為控制組(pH 8.1)和處理組(pH 7.9),pH通過CO2富集空氣調節。

培養與測量:實驗持續55天,初始(第7天)和最終(第55天)測量沉積物-海水通量。通量測量在光暗條件下進行,包括:
氧氣通量(TOU):使用化學光學傳感器測量總O2攝取。
無機氮通量:通過水樣分析測量NH4+和NOx-通量。
孔隙水氧合:使用Unisense微電極測量O2垂直剖面(高分辨率)。
數據分析:采用重復測量PERMANOVA統計模型,分析pH、時間、光暗 regime 對通量的影響(表2)。

4. 測量數據、來源及其研究意義
本研究測量了多維度數據,其具體來源和科學意義如下:
4.1 海水無機氮數據(來自 表1)

數據:海水NH4+和NOx-濃度在實驗期間變化。處理組(pH 7.9)的NOx-保留率更高(最終濃度為初始的82%),而對照組(pH 8.1)NOx-損失97%。
研究意義:表明CO2富集減少了海水無機氮的損失,可能由于沉積物氮滯留增強,影響pelagic生產力。
4.2 沉積物氧氣通量(TOU)數據(來自 圖2)

數據:河口砂的TOU在光暗條件下相似,但處理組最終TOU_light下降;淤泥的TOU_dark增加,處理組TOU_light變為負值(O2釋放)。
研究意義:CO2富集增強了底棲光合作用(尤其淤泥),導致凈自養狀態(BTSI指數變化),改變氧化還原平衡。
4.3 銨(NH4+)通量數據(來自 圖3)

數據:河口砂在處理組最終釋放更多NH4+(黑暗條件下);淤泥在處理組顯示NH4+吸收增強(光條件下)。
研究意義:表明微藻競爭NH4+,抑制硝化作用,導致NH4+積累或吸收變化,影響氮循環路徑。
4.4 硝酸鹽/亞硝酸鹽(NOx-)通量數據(來自 圖4)

數據:河口砂維持NOx-吸收;淤泥在處理組從NOx-釋放逆轉為吸收。
研究意義:CO2富集抑制硝化作用,減少NOx-生產,增強微藻吸收,導致氮滯留。
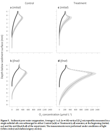
4.5 孔隙水氧合數據(來自 圖5 和 表3)


數據:Unisense微電極測量顯示,淤泥在處理組光條件下O2滲透深度(OPD)增加(從6.3mm to 9.4mm),黑暗OPD減少。
研究意義:光合作用增強導致孔隙水O2超飽和,抑制硝化作用和反硝化作用,改變氮轉化效率。
4.6 統計摘要數據(來自 表2)
數據:PERMANOVA分析顯示pH、光暗和時間對通量有顯著交互作用(如pH對NOx-通量影響p<0.05)。
研究意義:證實CO2富集效應顯著,且沉積物響應差異由微生物活動驅動。
5. 結論
論文得出以下核心結論:
CO2富集增強光合作用:底棲微藻生長增加,尤其在水淤泥中,導致O2釋放和氮吸收增強。
氮通量逆轉:淤泥中NOx-從釋放變為吸收,河口砂NH4+釋放增加,表明硝化作用抑制和氮滯留。
機制驅動:微藻競爭NH4+和光合作用引起的孔隙水氧合波動抑制了氨氧化細菌(AOB)活性,減少硝化作用和耦合反硝化。
生態意義:CO2富集可能減少氮損失(如反硝化),增加沿海系統氮滯留,加劇富營養化。
6. 詳細解讀:使用丹麥Unisense電極測量數據的研究意義
在本研究中,丹麥Unisense公司的微電極系統被用于高分辨率測量沉積物孔隙水的氧氣濃度剖面(方法部分2.3節),主要生成圖5的數據和表3的O2滲透深度(OPD)。
測量數據描述:Unisense微電極(Clark型,尖端直徑50-100 μm)以100 μm分辨率測量了孔隙水O2垂直分布,在光暗條件下進行。數據揭示了O2濃度從沉積物-水界面到anoxic區的梯度變化,并計算了OPD(O2滲透深度)。
詳細研究意義解讀:
量化光合作用效應:微電極數據直接顯示,在光條件下,淤泥孔隙水O2濃度超飽和(峰值~300 μM),OPD增加(處理組從6.3mm to 9.4mm),而黑暗OPD較低(~4.2mm)。這證實了CO2富集顯著增強底棲光合作用,為O2通量變化提供了機制證據。
揭示氧化還原動力學:高分辨率剖面顯示光暗循環導致孔隙水O2劇烈波動(圖5),表明微藻活動改變了氧化還原邊界。這抑制了硝化作用(需氧過程),因為AOB在O2波動環境中活性降低,同時減少了反硝化(缺氧過程),因O2滲透加深。
支持氮通量解釋:OPD增加和O2波動解釋了NOx-通量逆轉:硝化作用抑制減少NOx-生產,而微藻吸收增加NOx-消耗。微電極數據直接鏈接了物理化學變化與生物地球化學響應,增強了結論可靠性。
方法學優勢:Unisense微電極提供毫米級分辨率,能捕獲孔隙水細微變化,這是傳統采樣無法實現的。其高精度和實時測量避免了樣品擾動,確保了數據真實性。
生態啟示:這些測量表明,CO2富集通過改變微尺度氧合環境,影響微生物群落功能,最終調控氮循環。這強調了孔隙水動力學在預測沿海生態系統響應氣候變化中的關鍵作用。
總之,Unisense微電極在本研究中充當了“孔隙水顯微鏡”的角色,其數據是連接CO2富集、光合作用增強和氮通量變化的核心證據。沒有這些高分辨率測量,研究無法準確解析機制或預測生態后果,突出了微電極技術在沉積生物地球化學研究中的不可替代性。