熱線:021-66110810,66110819
手機:13564362870

熱線:021-66110810,66110819
手機:13564362870
Hydrogen-rich saline alleviates inflammation and apoptosis in myocardial I/R injury via PINK-mediated autophagy
富氫鹽水通過PINK介導的自噬減輕心肌缺血再灌注損傷中的炎癥和凋亡
來源:INTERNATIONAL JOURNAL OF MOLECULAR MEDICINE, volume 44,2019,pages 1048-1062
《國際分子醫學雜志》第44卷,2019年,頁碼1048-1062
摘要
這篇論文研究了富氫鹽水對心肌缺血再灌注損傷的影響。摘要指出,心肌缺血再灌注誘導的炎癥反應是損傷的重要元素,自噬在心臟穩態中起關鍵作用。氫通過抗炎、抗凋亡和抗氧化特性在多種疾病中發揮治療作用。本研究通過體內外實驗發現,富氫鹽水能減輕心肌梗死面積、改善心臟功能、減少細胞凋亡和炎癥因子釋放,并通過PINK1/Parkin介導的線粒體自噬機制實現保護作用。
研究目的
研究目的是探討富氫鹽水對心肌缺血再灌注損傷的抗炎和抗凋亡作用,并深入分析PINK1/Parkin介導的自噬在氫保護機制中的角色。
研究思路
研究思路是建立大鼠心肌缺血再灌注模型和H9C2細胞缺氧復氧模型,分為對照組、損傷組和氫處理組。通過腹腔注射富氫鹽水或使用富氫培養基處理,測量心肌梗死面積、心臟功能、細胞活力、乳酸脫氫酶釋放、細胞因子水平、凋亡和自噬相關蛋白表達。使用小干擾RNA沉默PINK1基因,驗證自噬通路的作用。
測量的數據及研究意義
1 心肌梗死面積和心肌酶數據來自圖1。研究意義是直接評估心肌損傷程度,顯示氫能顯著減少梗死面積和降低cTnI、CK-MB水平,表明氫對心肌有保護作用。

2 心臟功能和血流動力學數據來自圖2和圖3。研究意義是量化心臟收縮和舒張功能,氫改善±dp/dtmax、LVEF、LVEDP等參數,說明氫能恢復心臟泵血能力。


3 細胞因子水平數據來自圖4。研究意義是評估炎癥反應,氫降低TNF-α、IL-1β、IL-6和HMGB1水平,表明氫具有抗炎特性。

4 凋亡相關數據來自圖5。研究意義是分析細胞死亡機制,氫減少caspase-3表達、提高Bcl-2/Bax比率和降低TUNEL陽性細胞數,證實氫抑制凋亡。

5 細胞活力和LDH釋放數據來自圖6。研究意義是評估細胞毒性,氫提高H9C2細胞活力并減少LDH泄漏,說明氫減輕細胞損傷。

6 自噬相關蛋白表達數據來自圖7和圖8。研究意義是探索分子機制,氫上調LC3、ATG5、ATG12、Beclin1、PINK1和Parkin蛋白,表明氫激活自噬通路。


7 自噬調節對細胞因子和凋亡的影響數據來自圖9。研究意義是驗證自噬的作用,使用rapamycin和3-MA顯示氫通過自噬抑制炎癥和凋亡。

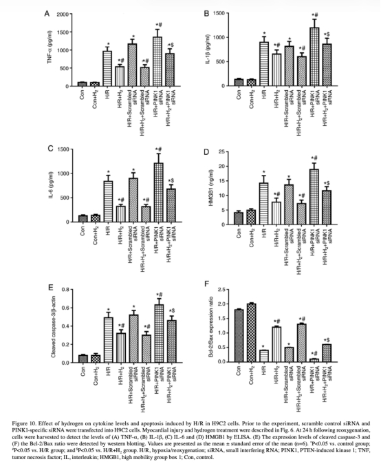
8 PINK1沉默的影響數據來自圖10。研究意義是確認PINK1通路的關鍵性,沉默PINK1逆轉氫的保護作用,強調PINK1介導的自噬是核心機制。

結論
論文得出結論,富氫鹽水通過PINK1/Parkin介導的線粒體自噬減輕心肌缺血再灌注損傷的炎癥反應和細胞凋亡。氫處理能改善心臟功能、減少梗死面積、抑制炎癥因子釋放和凋亡蛋白表達,這一機制為氫治療心肌損傷提供了新見解。
使用丹麥Unisense電極測量數據的研究意義
使用丹麥Unisense電極測量的數據是氫濃度檢測,在方法部分提到電極用于確保富氫鹽水或培養基中氫濃度維持在0.6 mmol/L。研究意義在于保證實驗的準確性和可重復性,通過精確量化氫濃度,驗證氫處理的有效性,從而排除濃度波動對結果的干擾,使體內外實驗條件標準化,增強結論的可靠性。這為氫治療的劑量控制提供了技術基礎,支持分子機制研究的可信度。