熱線:021-66110810,66110819
手機:13564362870

熱線:021-66110810,66110819
手機:13564362870
Characteristics of N2O Emission in Distilled Water and Activated Sludge Mixture
蒸餾水與活性污泥混合物中N2O排放特性
來源:Water, Air, & Soil Pollution, Volume 230, Article number 31, 2019
《水、空氣與土壤污染》,第230卷,文章編號31,2019年
摘要
本研究通過批次實驗測定了N2O在蒸餾水和活性污泥混合物中的總體積傳質系數(KLa),發現兩種介質中N2O排放過程存在顯著差異。蒸餾水中N2O的KLa值(約0.01 min?1)在不同初始濃度下保持穩定,而活性污泥混合物中KLa值(0.008–0.014 min?1)隨初始N2O濃度增加而升高,這是由于污泥中微生物的內源反硝化作用消耗N2O所致。研究表明,活性污泥中的生化反應干擾了N2O傳質過程,因此建議在計算生物脫氮過程中N2O排放速率時使用蒸餾水而非活性污泥混合物測定KLa值。
研究目的
本研究旨在探究蒸餾水和活性污泥混合物中N2O的排放特性,通過測定兩種介質中的總體積傳質系數(KLa),分析N2O從液相向氣相釋放的機制差異,并評估微生物生化反應對N2O傳質過程的影響,為準確計算污水處理過程中N2O排放速率提供方法學依據。
研究思路
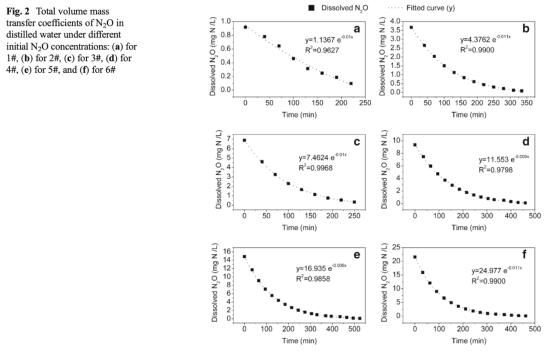
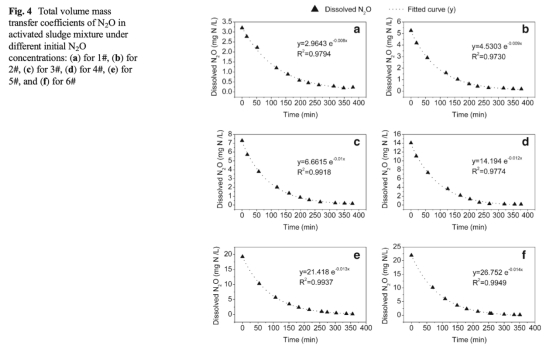
研究采用六聯攪拌器裝置,在非密封燒杯中對蒸餾水和活性污泥混合物(MLSS≈3540 mg/L)進行實驗。通過注入不同體積的壓縮N2O氣體形成梯度初始濃度(蒸餾水組:0.92–21.61 mg N/L;污泥組:3.21–21.98 mg N/L),在恒定攪拌速度(110 r/min)和室溫(16.2–18.2°C)條件下,使用丹麥Unisense微電極在線監測溶解N2O濃度衰減曲線,擬合指數方程計算KLa值,并對比兩種介質的排放持續時間、傳質系數變化及微生物反應的影響。
測量的數據及研究意義
1 初始N2O濃度與傳質系數(KLa)關系數據,來自Fig.2(蒸餾水)和Fig.4(活性污泥)。研究意義:蒸餾水KLa穩定(0.01±0.0008 min?1),表明N2O排放僅受物理傳質控制;活性污泥KLa隨濃度增加(0.008→0.014 min?1),揭示微生物內源反硝化消耗N2O,導致表觀傳質系數升高,說明生化反應干擾測量準確性。


2 N2O排放持續時間數據,來自Fig.3(蒸餾水)和Fig.5(活性污泥)。研究意義:蒸餾水中排放時間隨初始濃度拋物線增長(220–525 min),符合物理傳質規律;活性污泥中呈線性縮短,證實微生物反應加速N2O消耗,需區分物理與生化貢獻。


3 排放速率對比數據,來自Fig.7。研究意義:活性污泥N2O排放速率低于蒸餾水,差值區域"S"(約0.53 mg N/L·min)量化了內源反硝化速率,為建模提供關鍵參數。

4 微生物活性影響數據。研究意義:低N2O濃度(<15 mg N/L)時微生物反應弱,高濃度時細胞內聚合物驅動反硝化,強調操作條件對N2O歸趨的影響。
結論
1 蒸餾水中N2O傳質系數穩定,排放速率僅取決于實時溶解濃度,適用于物理傳質過程模擬。
2 活性污泥中N2O傳質系數受初始濃度和微生物活動雙重影響,內源反硝化消耗N2O導致表觀KLa升高,無法真實反映傳質過程。
3 建議采用蒸餾水測定KLa值計算N2O排放速率,避免活性污泥中生化反應干擾,提高生物脫氮過程N2O排放評估的準確性。
使用丹麥Unisense電極測量數據的研究意義
本研究使用丹麥Unisense微電極(測量范圍0.1–500 μM,誤差<2%)在線監測溶解N2O濃度,每秒采集數據,實現高分辨率實時監測。研究意義在于:該電極精準捕捉N2O濃度衰減曲線(R2≥0.95),為擬合指數方程(C_{N2O}=C_0 e^{-KLa t})提供可靠數據源,從而準確計算KLa值。在活性污泥體系中,電極數據揭示N2O濃度非對稱下降(前200分鐘快速衰減,后180分鐘緩慢衰減),間接證實細胞內聚合物消耗動態(Fig.4),為區分物理傳質與生化反應提供關鍵證據。Unisense電極的高靈敏度確保了低濃度N2O(如0.1 mg N/L)的檢測可靠性,避免了傳統氣相色譜法在非密封系統中的誤差,為N2O排放機制研究提供了技術保障。