熱線:021-66110810,66110819
手機:13564362870

熱線:021-66110810,66110819
手機:13564362870
Highly efficient nitrate removal in a heterotrophic denitrification system amended with redox-active biochar: A molecular and electrochemical mechanism
在添加氧化還原活性生物炭的異養反硝化系統中高效去除硝酸鹽:分子和電化學機制
來源:Bioresource Technology, Volume 275, 2019, Pages 297-306
《生物資源技術》,第275卷,2019年,第297-306頁
摘要
這篇論文研究了不同熱解溫度(300°C、500°C、800°C)制備的生物炭對異養反硝化過程的影響。結果表明,300°C生物炭(300BC)能顯著提高總氮去除率415%,減少N2O積累78%。機制上,300BC具有最高的電子轉移效率和反硝化酶活性,并增加了反硝化菌如Pseudomonas的豐度。硝酸鹽還原酶和亞硝酸鹽還原酶活性是關鍵影響因素。
研究目的
本研究旨在探索生物炭對反硝化過程中硝酸鹽、亞硝酸鹽還原和N2O積累的影響;研究生物炭對反硝化酶活性和反硝化菌群落的 impacts;揭示生物炭對電子生成和傳輸的影響;建立微生物代謝、生物炭氧化還原性質與反硝化性能之間的關系。
研究思路
研究通過制備不同熱解溫度(300°C、500°C、800°C)的生物炭,在批式反應器中進行反硝化實驗。結合分子生物學和電化學技術,測量氮去除效率、酶活性、電子傳輸系統活性(ETSA)、微生物群落結構和生物炭的氧化還原性質。使用相關分析和統計方法驗證機制。
測量的數據及研究意義
1 氮去除數據,來自Fig. 1:包括NO3-N、NO2-N、N2O濃度和TN去除效率。300BC顯著提高NO3-N去除和TN去除效率,減少NO2和N2O積累。研究意義在于證明300BC能有效促進反硝化過程,減少溫室氣體排放,為生物炭在廢水處理中的應用提供依據。

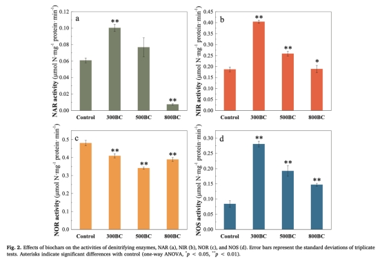
2 酶活性數據,來自Fig. 2:包括硝酸鹽還原酶(NAR)、亞硝酸鹽還原酶(NIR)、一氧化氮還原酶(NOR)和氧化亞氮還原酶(NOS)的活性。300BC下這些酶活性最高。研究意義在于酶活性提高是反硝化增強的直接機制,幫助理解生物炭的催化作用。

3 葡萄糖降解和ETSA數據,來自Fig. 3:300BC提高葡萄糖降解效率和電子傳輸系統活性(ETSA)。研究意義在于表明生物炭促進電子生成和傳輸,支持反硝化過程的電子需求。

4 微生物群落數據,來自Fig. 4:300BC增加Pseudomonas等反硝化菌的豐度。研究意義在于微生物群落變化證實生物炭對反硝化菌的富集作用,從而改善反硝化性能。

5 電化學性質數據,來自Fig. 5:300BC具有最高的電子捐贈容量(EDC)。研究意義在于EDC與反硝化率正相關,表明生物炭作為電子穿梭體,增強電子轉移,是促進反硝化的關鍵。

結論
1 300BC最有效地促進反硝化,提高氮去除率,減少N2O積累,而800BC抑制反硝化。
2 生物炭主要通過影響電子傳輸效率來影響反硝化過程,300BC具有高電子交換容量。
3 300BC促進葡萄糖降解和反硝化酶活性,增加反硝化菌豐度。
4 需要進一步研究不同原材料生物炭的影響以及工程應用可行性。
使用丹麥Unisense電極測量數據的研究意義
在酶活性測量中,使用丹麥Unisense微傳感器(型號MMM-Meter)檢測N2O變化,用于計算NOR和NOS活性。研究意義在于:Unisense電極提供高精度、實時的N2O監測,能準確量化酶活性動態,幫助驗證生物炭如何通過提高酶活性減少N2O積累。這些數據支持電化學機制,表明生物炭作為電子穿梭體,增強電子轉移,從而優化反硝化過程,減少溫室氣體排放。電極的使用確保了實驗數據的可靠性,為分子和電化學機制提供實證基礎。