熱線:021-66110810,66110819
手機:13564362870

熱線:021-66110810,66110819
手機:13564362870
Novel two stage partial denitrification (PD)-Anammox process for tertiary nitrogen removal from low carbon/nitrogen (C/N) municipal sewage
用于低碳氮比市政污水三級脫氮的新型兩段部分反硝化(PD)-厭氧氨氧化工藝
來源:Chemical Engineering Journal, Volume 362, 2019, Pages 107-115
《化學工程雜志》,第362卷,2019年,第107-115頁
摘要
這篇論文研究了一種新型的兩段部分反硝化(PD)-厭氧氨氧化(Anammox)工藝,用于處理低碳氮比(C/N)市政污水和含硝酸鹽的二級出水。過程包括部分反硝化將硝酸鹽轉化為亞硝酸鹽,然后厭氧氨氧化去除氮。結果顯示,硝酸鹽去除效率達97.9%,氨氮和COD去除效率分別為95.2%和81.6%,最終出水總氮低至4.0 mg/L,厭氧氨氧化貢獻了78.2%的脫氮,且過程產生低量氧化亞氮(N2O),具有經濟和環境優勢。
研究目的
本研究旨在開發一種新型的三級脫氮工藝,以解決傳統污水處理廠二級出水中硝酸鹽過高的問題。傳統工藝存在碳源需求高、污泥產量大、操作復雜等缺點,PD-Anammox過程旨在通過部分反硝化和厭氧氨氧化的結合,實現高效、穩定、低成本的氮去除,同時減少環境影響。
研究思路
研究設計了一個兩階段系統:第一部分是部分反硝化(PD)序批式反應器(SBR),使用乙酸鈉作為碳源,將硝酸鹽轉化為亞硝酸鹽;第二部分是上流式厭氧污泥床(UASB)反應器,進行厭氧氨氧化,進一步去除氮。過程長期運行224天,處理模擬二級出水(硝酸鹽20-40 mg/L)和真實市政污水(氨氮57.8 mg/L,COD 175.8 mg/L),通過調整碳氮比和操作參數優化性能。
測量的數據及研究意義
1 氮濃度數據(如NH4+-N、NO2--N、NO3--N、TN)和COD濃度,來自Fig. 2和Table 1。研究意義在于驗證PD-Anammox過程的高效性,顯示硝酸鹽和氨氮的去除效率均超過95%,總氮出水達4.0 mg/L,滿足嚴格排放標準,證明該工藝適用于三級處理。


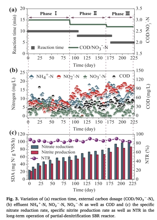
2 部分反硝化性能數據,如亞硝酸鹽積累率(NTR)、特定硝酸鹽還原速率和特定亞硝酸鹽產生速率,來自Fig. 3。研究意義在于表明PD階段能穩定產生亞硝酸鹽(NTR達85.6%),為Anammox提供底物,確保整個過程穩定性。

3 微生物群落數據,如高通量測序結果,顯示Planctomycetes、Chloroflexi等菌門比例,來自Fig. 4。研究意義在于揭示Anammox菌(如Candidatus_Brocadia)為主導,盡管存在異養菌,但過程仍穩定,幫助理解微生物機制。

4 N2O產生數據,來自Fig. 5,使用丹麥Unisense電極測量。研究意義在于量化過程的環境影響,顯示N2O產生量低(PD出水中0.031-0.053 mg/L),表明該工藝溫室氣體排放少,優于傳統反硝化。

結論
1 PD-Anammox過程能高效去除氮,出水總氮低至4.0 mg/L,厭氧氨氧化是主要脫氮途徑(平均貢獻78.2%),且過程穩定運行224天。
2 該過程經濟環境友好,氧氣消耗、碳源需求和污泥產量均比傳統工藝低,CO2排放減少,易于從現有廠改造。
3 N2O產生量低,減少了溫室氣體風險,但需注意有機物輸入對Anammox穩定性的潛在影響。
使用丹麥Unisense電極測量數據的研究意義
本研究使用丹麥Unisense N2O微傳感器(N2O 500)測量N2O濃度,檢測限為0.0028 mg/L,校準后顯示線性相關。研究意義在于:該電極提供高精度、實時的N2O監測數據,幫助準確量化PD和Anammox階段的溫室氣體排放。從Fig. 5數據可知,PD階段在低碳氮比時N2O積累較高,但整體過程N2O產生量低,證實了PD-Anammox的環境優勢。這種測量支持了過程優化,如控制碳源投加以減少N2O,并為評估工藝可持續性提供關鍵指標。