熱線:021-66110810,66110819
手機:13564362870

熱線:021-66110810,66110819
手機:13564362870
Controlling reduced iron and manganese in a drinking water reservoir by hypolimnetic aeration and artificial destratification
通過底層曝氣和人工混合控制飲用水水庫中的還原態鐵和錳
來源:Science of the Total Environment, Volume 685, 2019, Pages 497-507
《整體環境科學》,第685卷,2019年,第497-507頁
摘要:
論文摘要指出,飲用水水庫中的鐵和錳濃度對水質有重要影響,但季節性分層和降雨事件會導致問題。研究通過部署提水曝氣器(WLAs),利用底層曝氣和人工混合來控制鐵和錳。結果表明,曝氣補充氧氣能有效降低水柱中溶解鐵和錳,增加沉積速率和沉積物-水界面的擴散通量。鐵被化學氧化,濃度低,而錳因復雜動力學在近沉積區積累。沉積物在WLA停用后快速缺氧釋放鐵和錳,強調人工和自然混合期連接的重要性。
研究目的:
本研究旨在調查WLAs對以下方面的影響:(1) 夏季缺氧期間溶解鐵和錳的積累;(2) 降雨事件期間外部還原鐵和錳污染的影響,結合水庫口泄洪操作;(3) 孔隙水中活性鐵和錳原位微剖面對環境變化的響應;(4) 沉積物中鐵和錳擴散通量的變化。
研究思路:
研究在Jinpen水庫進行,部署了8個WLAs。通過收集水柱、沉積物和孔隙水的原位數據,包括溶解氧、溫度、鐵錳濃度等,使用高分辨率技術如DGT和Unisense微電極測量活性金屬和氧氣微剖面。分析在不同操作條件下(如分層期、降雨事件)鐵錳的行為和擴散通量。
測量的數據及研究意義:
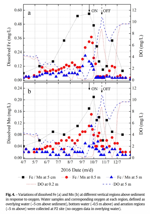
1. 水柱中溶解鐵和錳濃度變化(來自Fig.2和Fig.6):研究意義在于顯示WLAs如何通過曝氣和混合降低溶解鐵錳濃度,特別是在缺氧期和降雨事件中,證實WLAs能有效控制源水水質。


2. 氧氣和溫度剖面(來自Fig.3):研究意義在于揭示WLAs操作如何改善水柱氧氣條件,促進氧化過程,并顯示間歇性提水對SWI氧氣的增強作用。

3. 沉積物-水界面附近活性鐵和錳微剖面(來自Fig.8):研究意義在于提供微觀視角,顯示WLAs操作如何影響金屬的生物地球化學循環,如增加錳的擴散通量 due to 濃度梯度增加。

4. 擴散通量JFe和JMn變化(來自Fig.9):研究意義在于量化WLAs對沉積物-水界面物質交換的影響,顯示JMn增加而JFe減少,表明錳的控制更具挑戰性。

5. 總鐵和錳在降雨事件中的分布(來自Fig.5)和不同垂直區域 above sediment 的濃度變化(來自Fig.4):研究意義在于評估外部污染和WLAs的應對效果,顯示泄洪操作能減少顆粒物輸入,WLAs在低濁度條件下有效控制溶解金屬。


結論:
1. 溶解鐵易被非生物氧化去除,但溶解錳在近沉積區持續積累;WLAs通過間歇性提水增強SWI氧氣效率,增加擴散通量。
2. WLAs能在低懸浮固體條件下減少外部還原鐵錳污染,結合水庫口泄洪操作,防止沉積誘導缺氧。
3. WLAs操作增加錳的擴散通量(JMn),而鐵擴散通量(JFe)減少;停用后沉積物快速缺氧釋放金屬。
4. WLAs導致復雜生物地球化學循環,應考慮其環境影響,如沉積物氧需求增加。
使用丹麥Unisense電極測量數據的研究意義:
本研究使用丹麥Unisense MP8微剖面儀測量沉積物-水界面的氧氣微剖面。該電極具有高分辨率(0.1 mm)和快速響應時間,能精確捕捉氧氣分布。研究意義在于:提供原位、高精度氧氣數據,用于計算擴散邊界層厚度和氧氣滲透深度,從而準確估計擴散通量。這些數據揭示了WLAs操作如何改善SWI的氧化條件,例如增加氧氣滲透深度,抑制還原物質釋放。同時,氧氣微剖面與金屬數據結合,深化了對鐵錳生物地球化學循環的理解,為水庫管理提供科學依據。