熱線:021-66110810,66110819
手機:13564362870

熱線:021-66110810,66110819
手機:13564362870
New Integrated Self-Refluxing Rotating Biological Contactor for rural sewage treatment
用于農村污水處理的新型集成自回流旋轉生物接觸器
來源:Journal of Cleaner Production, Volume 217, 2019, Pages 324-334
《清潔生產雜志》,第217卷,2019年,第324-334頁
摘要:
這篇論文針對中國農村污水污染問題,開發了一種新型集成自回流旋轉生物接觸器(NISRRBC)技術。通過正交試驗確定了最佳操作參數(轉速5 r/min、水力停留時間8 h、盤片淹沒直徑40%、回流比200%),并在實驗室和中試規模驗證其性能。結果表明,與0%回流相比,200%回流提高了污染物去除率(COD、SS、NH4-N和TN分別增加5.25%、5.49%、5.67%和32.63%),減少了污泥產量,且生物膜形成良好的微環境和功能菌群分層。中試出水達到城鎮污水處理廠污染物排放標準(GB 18918-2002)B級標準,證明NISRRBC因污泥產量低、集成設計和操作簡單,是農村污水處理的優先選擇。
研究目的:
本研究旨在開發一種經濟、高效、穩定的NISRRBC技術用于農村污水處理,通過優化操作參數(如回流比),分析回流對污染物去除效率、污泥產量、生物膜微環境及微生物群落的影響,并驗證其中試應用效果,為中國農村污水治理提供技術支持。
研究思路:
研究首先通過正交試驗(L9(3^4)設計)確定NISRRBC的最佳操作參數(轉速、HRT、淹沒直徑和回流比),以總氮去除率為指標。隨后,在實驗室規模比較0%回流(對照組)和200%回流(實驗組)下的污水處理效率、污泥產量、生物膜微環境(如溶解氧和氧化還原電位分布)和微生物群落特性(通過DGGE和測序分析)。最后,進行中試規模驗證,評估實際應用效果。
測量的數據及研究意義:
1 污染物去除率數據(COD、SS、NH4-N、TN),來自Fig.3。研究意義:200%回流下,COD、SS、NH4-N和TN去除率分別達93.30%、93.55%、97.28%和74.21%,出水濃度分別為15.34、5.32、1.70和12.73 mg/L,表明回流顯著提升脫氮效率,尤其TN去除率提高32.63%,為解決農村污水低碳氮比問題提供方案。

2 污泥產量數據,來自Fig.4。研究意義:200%回流時污泥產量減少33.03%(平均5.07 g MLSS/d),污泥排放頻率從每12小時降至每20天一次,降低了運營成本和處理負擔,適合缺乏專業人員的農村地區。

3 溶解氧(DO)和氧化還原電位(ORP)分布數據,來自Fig.5(使用丹麥Unisense微電極測量)。研究意義:DO濃度從生物膜表層(7-8 mg/L)向內層遞減至200μm處>2 mg/L、500μm處1-2 mg/L、1000μm處<0.2 mg/L;ORP從表層>200 mV降至深層<0 mV,揭示生物膜內好氧(0-200μm)、缺氧(200-1000μm)和厭氧(>1000μm)分層,回流增強了微環境梯度,促進硝化和反硝化協同作用。

4 微生物群落分布數據,來自Fig.6。研究意義:外層生物膜以γ-變形菌、疣微菌和厚壁菌為主,多樣性高;內層以厭氧菌為主,多樣性低。回流使功能菌群(如硝化菌和反硝化菌)空間分層優化,支持高效污染物降解。

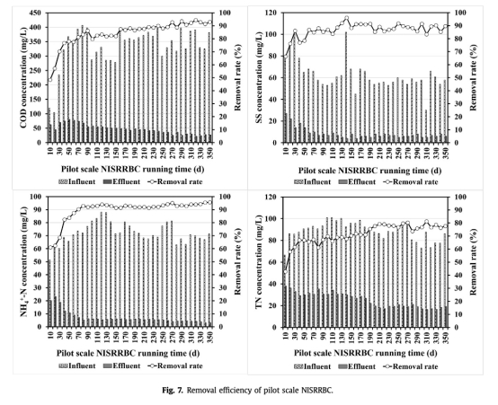
5 中試性能數據,來自Fig.7和Fig.8。研究意義:中試NISRRBC的COD、SS、NH4-N和TN去除率分別達89.21%、88.92%、93.06%和76%,出水符合排放標準,且污泥排放次數少(一年僅12次),驗證技術可行性和穩定性。


結論:
1 NISRRBC在最佳參數(轉速5 r/min、HRT 8 h、淹沒直徑40%、回流比200%)下運行良好,200%回流顯著提高TN去除率至74.21%,并減少污泥產量。
2 回流通過增加生物膜生物量和硝酸鹽濃度,優化微環境分層(好氧-缺氧-厭氧),促進微生物功能協同,提升處理效率。
3 中試結果表明NISRRBC出水穩定達標,操作簡單,污泥產量低,適合農村污水處理推廣。
使用丹麥Unisense電極測量數據的研究意義:
本研究使用丹麥Unisense微電極(型號PA2000,尖端直徑10μm)在線測量生物膜內的溶解氧(DO)和氧化還原電位(ORP)。研究意義在于:這些高精度測量數據實時揭示了生物膜內部的微環境分層動態。如圖5所示,DO和ORP從表層到深層呈現梯度變化,明確劃分出好氧、缺氧和厭氧區域。這種分層結構解釋了回流如何通過增強氧和底物擴散,促進硝化菌(好氧區)和反硝化菌(缺氧區)的協同作用,從而顯著提升脫氮效率。此外,ORP數據(從正値到負値)進一步驗證了厭氧條件的存在,支持了TN去除的機制。Unisense電極的數據為優化NISRRBC操作提供了關鍵依據,證實回流策略能有效調控生物膜微環境,實現高效低耗的農村污水處理。