熱線:021-66110810,66110819
手機:13564362870

熱線:021-66110810,66110819
手機:13564362870
Environmental and sediment conditions, infaunal benthic communities and biodiversity in the Celtic Sea
凱爾特海的環境和沉積物條件、底棲動物群落和生物多樣性
來源:Continental Shelf Research
論文摘要
本研究探討了凱爾特海(Celtic Sea)表層沉積物環境與底棲大型動物群落結構及生物多樣性的關系。研究在一個87 km × 95 km的區域內進行,該區域被特意選擇以最小化水深、水體分層、初級生產力和流速等環境因素的變異,但包含了從細泥到粗砂礫的多種沉積物類型。通過對55個站位的采樣,綜合測量了沉積物特性、生物地球化學參數和大型底棲動物群落。研究發現,盡管環境因素變異被最小化,平均床層剪切應力和水深仍是解釋底棲群落空間變異的重要情境因素;而現場測量的沉積物參數中,極細沙含量(與平均剪切應力相關)是最重要的解釋變量。生物地球化學參數(如營養鹽、有機質)主要隨沉積物結構變化。盡管沉積物及其生物地球化學特征表現出明顯的空間異質性,但底棲生物豐度和生物量的空間變化卻不顯著。群落結構雖隨沉積物類型顯著變化,但與現場測量的環境變量關聯較弱,表明除沉積物性質外,其他過程(如幼蟲輸送、食物供給)也可能是決定群落結構的重要因素。
研究目的
識別關鍵環境驅動因子:在盡可能控制大尺度環境變異(如深度、水動力)的前提下,探究沉積物特性(粒度組成、有機質含量等)和生物地球化學參數(孔隙水營養鹽、色素等)對凱爾特海大型底棲動物群落結構(組成、豐度、生物量、多樣性)的影響。
評估沉積物與生物多樣性的關系:確定沉積物類型(從泥到砂礫)如何影響底棲生物的物種組成、分布和多樣性模式。
區分不同類別環境變量的作用:比較“情境變量”(如經緯度、水深、剪切應力、漁業壓力)和“現場變量”(沉積物特性、孔隙水化學)在解釋底棲群落變異中的相對重要性。
為棲息地測繪與管理提供依據:深化對陸架海沉積環境與生物群落關聯的理解,為基于環境預測生物分布(生物區劃、棲息地測繪)的管理實踐提供科學依據。
研究思路
研究采用“控制變異-多參數同步測量-多元統計分析”的思路:
研究區域選擇:在凱爾特海選定一個87×95 km的區域,該區域水深(平均95 m)、水動力(剪切應力)、水體分層和生產力相對均一,但沉積物類型變化顯著(從泥到砂礫),從而聚焦于沉積物本身的影響。
同步采樣與測量:在55個站點(圖1),使用箱式采樣器(0.08 m2 NIOZ box corer)同步采集:

大型底棲動物:鑒定到種,記錄豐度和生物量。
沉積物特性:粒度分析(粒徑中值、分選、偏度、峰度)、總有機碳(TOC)、總氮(TN)、孔隙度、葉綠素a、脫鎂色素。
孔隙水化學:營養鹽(NO?, NO?, PO?, SiO?, NH?)。
氧化還原參數:使用丹麥Unisense氧微電極測量氧滲透深度(OPD)。
情境變量:經緯度、水深、平均/最大床層剪切應力、漁業壓力。
數據分析:運用多元統計技術(PRIMER v7軟件):
聚類與排序:使用聚類分析(SIMPROF)、非度量多維標度(nMDS)可視化站點基于環境變量和群落結構的相似性。
關聯分析:使用RELATE(Mantel test)檢驗生物與環境矩陣的整體相關性;使用BIO-ENV尋找與生物群落最匹配的環境變量子集。
差異檢驗:使用ANOSIM檢驗不同沉積物組間群落結構的顯著性差異;使用SIMPER識別貢獻差異的關鍵物種。
多樣性分析:計算多種單變量多樣性指數(如物種豐富度、香農指數、分類差異性等),并分析其與環境因子的關系。
測量數據及其研究意義(注明來源)
研究測量了多維度數據,其意義和來源如下:
沉積物粒度參數(如中值粒徑、分選系數、偏度、峰度、各粒級砂/泥含量):
意義:直接表征棲息地的物理結構,影響孔隙度、滲透性、穩定性及有機質保存,是決定底棲生物群落組成和生物擾動的核心物理因子。
來源:數據通過粒度分析獲得,聚類結果見圖2,站點分組見圖3。


沉積物有機質參數(TOC, TN, C/N比、葉綠素a、脫鎂色素):
意義:反映食物的數量(有機質負荷)和質量(來源和降解狀態),是影響底棲生物豐度、生物量和次級生產的關鍵能量來源。
來源:通過元素分析儀測量,與粒度參數一同用于站點聚類(圖3)。
孔隙水營養鹽(NO?, NO?, PO?, SiO?, NH?):
意義:指示沉積物-水界面的生物地球化學循環強度(如礦化、硝化、反硝化),反映了微生物活性和潛在的營養鹽通量,可能影響底棲生物的營養狀況。
來源:通過孔隙水提取和自動分析儀測量,變量聚類見圖2。
氧滲透深度(OPD):
意義:由丹麥Unisense微電極測量,是沉積物氧化還原狀態的關鍵指標。OPD淺表明沉積物耗氧強烈,通常與高有機質含量相關,影響生物分布和生物地球化學過程。
來源:使用Unisense微電極原位測量,其數據參與了對沉積物化學環境的表征。
底棲群落參數(物種組成、豐度、生物量、多樣性指數):
意義:直接反映了生態系統的結構和功能。其與環境因子的關聯分析揭示了棲息地過濾機制和群落構建規則。
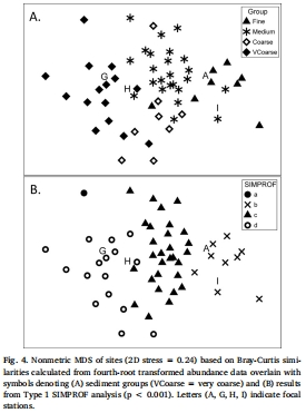
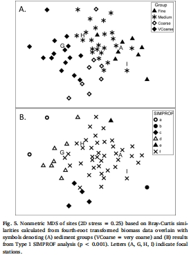
來源:通過樣品鑒定和計數獲得,群落結構與沉積物類型的關系見圖4(豐度) 和圖5(生物量)。


研究結論
沉積物是主要驅動因子,但非唯一因素:沉積物類型(粒度)是驅動底棲群落結構的最重要因素,ANOSIM表明不同沉積物類型的群落存在顯著差異。然而,BIO-ENV分析顯示環境變量與群落結構的匹配度并不極高(ρ < 0.5),表明除沉積物外,其他過程(如幼蟲擴散、捕食、未能測量的食物供應) 也對群落構建有重要貢獻。
情境變量凸顯水動力作用:即使在精心選擇的最小化變異的區域,平均剪切應力和水深仍是重要的情境驅動因子,它們通過影響沉積物類型(如極細沙含量)間接塑造群落。
生物量與豐度響應不同:基于生物量的群落分析(圖5)顯示站點間分組不如基于豐度的分析(圖4)清晰,表明不同沉積物中群落可能通過生物個體大小(大小結構)的調整來實現功能相似性。
多樣性無簡單關聯:單變量多樣性指數與任何環境因子均無強相關性,表明在該區域,α多樣性可能由更復雜的多因子相互作用決定,而非單個環境梯度。
管理啟示:研究強調,僅依靠環境變量(即使是綜合測量)來精確預測底棲群落結構仍然面臨挑戰。成功的棲息地測繪和生物多樣性預測需要整合對關鍵生物過程(如繁殖、招募)的理解。
使用丹麥Unisense電極測量數據的研究意義詳細解讀
在本研究中,丹麥Unisense公司的Clark型氧微電極系統被用于原位測量沉積物中的氧滲透深度(OPD)(方法部分2.4)。OPD是指溶解氧從沉積物-水界面向下擴散直至耗盡的距離。
詳細研究意義如下:
定量表征沉積物氧化還原狀態:OPD是一個關鍵的生境指標。OPD值淺,表明沉積物耗氧迅速,通常存在于有機質含量高、微生物代謝活躍的區域(如泥質沉積物);OPD值深,則表明氧化性條件可維持到更深層,常見于有機質貧乏、滲透性好的粗砂沉積物。Unisense微電極提供的OPD數據,為55個站點的沉積物化學環境提供了一個可量化、可比較的統一指標。
鏈接物理環境與生物地球化學功能:OPD測量將沉積物的物理特性(粒度) 與其功能特性(氧化還原狀態) 聯系起來。例如,研究發現 finer沉積物(泥、細沙)通常具有更淺的OPD和更高的有機質含量,而 coarser沉積物則相反。這證實了水動力(通過影響粒度)如何調控沉積物的氧化還原條件,進而影響整個系統的生物地球化學循環(如有機質礦化路徑、營養鹽再生)。
解釋生物分布格局的潛在機制:OPD定義的氧化還原梯度是許多底棲生物重要的生存限制因子。厭氧微生物和某些特化無脊椎動物(如某些多毛類)適應淺OPD的缺氧環境,而需氧生物則偏好深OPD的氧化環境。因此,Unisense測得的OPD數據為解釋底棲群落沿沉積物梯度分布提供了關鍵的化學環境背景。雖然OPD本身在BIO-ENV分析中未被選為最重要的變量(可能與其它粒度參數共線性高),但它無疑是理解“為什么特定沉積物類型會支持特定群落”的機制核心。
技術優勢確保數據可靠性:Unisense微電極具有高空間分辨率(毫米級) 和快速響應時間,能夠精確描繪氧濃度的微剖面,從而準確確定OPD。其原位測量特性避免了采樣擾動對脆弱化學梯度的破壞,獲得的數據真實反映了沉積物的原位條件。這為研究提供了高質量、可靠的環境化學數據。
綜上所述,使用Unisense氧微電極獲得的OPD數據,在本研究中扮演了連接物理棲息地(沉積物)與化學微環境、進而通向生物學響應的橋梁角色。它不僅僅是一個簡單的化學參數測量,更是從功能生態學角度解讀底棲群落分布格局機制的關鍵工具,增強了研究從描述相關性到理解因果關系的深度。