熱線:021-66110810,66110819
手機:13564362870

熱線:021-66110810,66110819
手機:13564362870
Interdependency of Respiratory Metabolism and Phenazine-Associated Physiology in Pseudomonas aeruginosa PA14
銅綠假單胞菌PA14呼吸代謝與吩嗪相關生理學的相互依賴
來源:Journal of Bacteriology, Volume 202, Issue 4, e00700-19, February 2020
《細菌學雜志》第202卷第4期,文章編號e00700-19,2020年2月
摘要內容:
該研究探討了銅綠假單胞菌PA14中呼吸代謝與吩嗪相關生理學之間的相互依賴關系。吩嗪作為電子穿梭體,能夠介導胞外電子傳遞(EET),在病原體毒力和燃料電池中具有重要作用。研究發現,吩嗪生產影響呼吸活性和末端氧化酶基因表達,碳源身份影響吩嗪還原機制,生物膜生長影響吩嗪庫組成。這些發現有助于理解宿主感染過程中銅綠假單胞菌的行為,并為理解執行EET的多種細菌中初級代謝與穿梭生理之間的交叉對話提供切入點。
研究目的:
探究銅綠假單胞菌PA14中呼吸代謝與吩嗪相關生理學之間的相互關系,特別是不同碳源條件下吩嗪生產對呼吸活性的影響,以及生物膜生長對吩嗪庫組成的影響。
研究思路:
通過比較野生型PA14和吩嗪缺失突變體在不同碳源條件下的呼吸活性、末端氧化酶基因表達、吩嗪產量和種類,以及生物膜內的氧化還原電位,分析吩嗪生產與呼吸代謝的相互影響。
測量數據及研究意義:
1 使用表型微陣列板測量四唑紫染料還原情況,反映電子流向和呼吸活性(圖1B, 2B)。


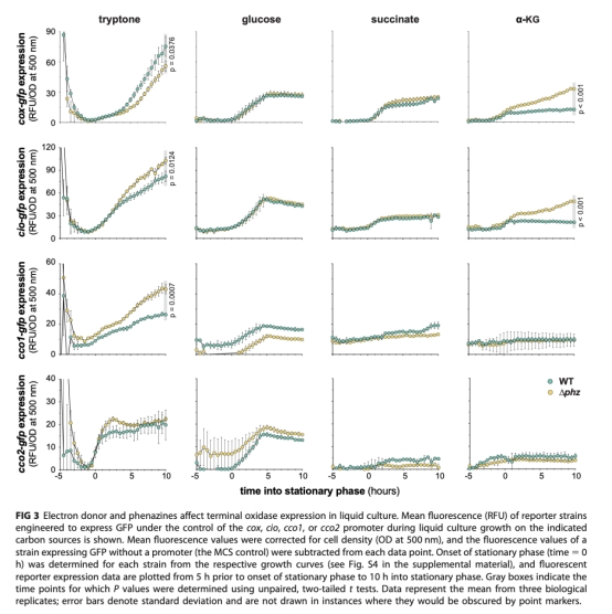
2 使用GFP報告菌株測量末端氧化酶基因表達,說明吩嗪如何影響電子傳遞鏈組成(圖3, 4)。


3 使用HPLC分析吩嗪產量和種類,揭示碳源如何影響次級代謝(圖5B)。

4 使用微電極測量生物膜內的氧化還原電位,展示吩嗪在生物膜中的實際利用情況(圖6)。

Unisense電極測量數據的研究意義:
使用丹麥Unisense的微電極測量生物膜內的氧化還原電位,能夠實時、原位地顯示吩嗪在生物膜不同深度被還原的情況,從而反映胞外電子傳遞的實際效率。不同碳源下還原模式的差異說明碳源身份影響了吩嗪還原的機制和位置,例如在葡萄糖上還原發生在生物膜頂部好氧區,在α-KG上還原則是跨深度逐漸進行。這些數據直接證明了吩嗪在生物膜環境中的功能異質性,為理解細菌在不同生長條件下的能量代謝和 redox 平衡策略提供了關鍵證據。
結論:
1 吩嗪生產與呼吸代謝相互影響,吩嗪能夠抑制某些碳源下的染料還原,并影響末端氧化酶基因表達。
2 碳源身份顯著影響吩嗪的生產和還原機制,不同碳源下吩嗪庫組成和還原模式不同。
3 生物膜生長改變了吩嗪庫組成,促進PCN生產而減少PYO生產。
4 吩嗪還原機制依賴電子傳遞鏈組成和碳源身份,Cco末端氧化酶在吩嗪還原中起主要作用,但不同碳源下其他氧化酶也可能參與。
5 吩嗪可能在氮限制條件下作為氮匯,平衡細胞內碳氮比。