熱線:021-66110810,66110819
手機:13564362870

熱線:021-66110810,66110819
手機:13564362870
Leaching of flame-retardants from polystyrene debris: bioaccumulation and potential effects on coral
聚苯乙烯碎片中阻燃劑的浸出:在珊瑚中的生物積累及潛在影響
來源:Marine Pollution Bulletin, Volume 151, February 2020, Article 110862
《海洋污染通報》第151卷,2020年2月,文章編號110862
摘要內容:
研究調查了法國里維拉海岸的聚苯乙烯(PS)泡沫碎片,發現其含有高濃度六溴環十二烷(HBCDD,最高達1,940 μg/g)。實驗證實PS碎片可在長達32天內持續浸出HBCDD(主要成分為α-異構體,浸出速率>150 ng/g/天),且這些添加劑能被珊瑚快速吸收并長期滯留。短期暴露(5天)后,盡管珊瑚組織內HBCDD顯著積累,但對光合作用、蟲黃藻密度和葉綠素含量無顯著影響。然而,暴露于PS浸出液導致珊瑚蟲持續收縮,而單獨暴露于HBCDD未引發該反應,表明浸出液中其他成分對珊瑚產生脅迫。
研究目的:
1 量化海岸塑料碎片中HBCDD含量及異構體組成
2 探究PS碎片中HBCDD的浸出動力學
3 評估HBCDD在石珊瑚(Stylophora pistillata)中的生物積累能力
4 分析HBCDD及PS浸出液對珊瑚的生理影響
研究思路:
1 樣品采集:法國里維拉海岸3個站點采集17份泡沫狀塑料碎片(圖1a)

2 材質鑒定:FTIR光譜分析塑料類型
3 添加劑檢測:UPLC-ESI-MS/MS測定HBCDD異構體及酚類化合物(圖2)

4 浸出實驗:模擬PS碎片在海水中的HBCDD釋放動力學(持續32天)
5 珊瑚暴露:分4組處理(PS浸出液組、純HBCDD組、甲醇對照組、空白海水組)
6 生物積累檢測:測定珊瑚組織HBCDD含量及異構體分布(圖3)

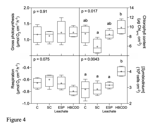
7 生理響應:測量光合/呼吸速率(Unisense電極)、蟲黃藻密度、葉綠素含量(圖4)

測量數據及來源:
1 塑料碎片化學成分(圖2a):
? 8/16份PS含HBCDD(100-1,940 μg/g),α/β/γ異構體比例各異
? 3份PS檢出酚類化合物(BPA高達4,565 μg/g)
2 HBCDD浸出動力學(正文3.2節):
? 初始2小時浸出濃度峰值(∑HBCDD 132 ng/L),后穩定在20-61 ng/L
? α-異構體占浸出總量78±3%(與溶解度特性一致)
3 珊瑚生物積累(圖3):
? 5天暴露后組織濃度:浸出液組30±12 ng/g,純HBCDD組53±28 ng/g
? α-異構體占比達98%(揭示異構體特異性生物富集)
4 生理響應(圖4):
? 光合作用(Pg)、呼吸(R)、蟲黃藻密度、葉綠素無顯著變化
? PS浸出液組100%出現珊瑚蟲收縮(純HBCDD組無此現象)
數據研究意義:
1 HBCDD含量與浸出數據(圖2):證實海岸塑料碎片是持久性污染物儲存庫,長期浸出威脅海洋生態系統
2 異構體分布(圖2a/3):α-異構體在浸出與生物積累中占主導,為污染物遷移轉化研究提供關鍵參數
3 珊瑚積累/滯留差異(圖3):揭示PS浸出液中未知成分延緩HBCDD排出(滯留因子4倍于純HBCDD)
4 生理響應(圖4):珊瑚蟲收縮作為敏感脅迫指標,暗示浸出液中除HBCDD外存在其他有害成分
結論:
1 污染負荷:地中海海岸PS碎片含高濃度HBCDD(最高占塑料重量0.2%)
2 持續釋放:PS碎片可長期浸出HBCDD(>150 ng/g/天),α-異構體為主要浸出成分
3 生物積累:珊瑚快速富集HBCDD且滯留時間長(α-異構體占比升至99.5%)
4 生理影響:短期暴露未損害光合系統,但PS浸出液引發珊瑚蟲收縮(暗示其他毒性成分存在)
5 生態風險:塑料污染物通過浸出-生物積累路徑威脅珊瑚礁健康
丹麥Unisense電極測量數據的研究意義:
研究中采用Unisense光纖氧電極(Presense Chanel光纖氧監測儀)測量珊瑚光合(Pn)與呼吸速率(R)(方法2.3.3),其核心價值在于:
1 高精度代謝監測:以1分鐘間隔連續記錄60分鐘氧通量變化(黑暗測R,光照200 μmol光子/m2/s測Pn),靈敏度達微摩爾級,精準量化污染物暴露下珊瑚能量代謝狀態
2 排除假陰性結果:測得光合/呼吸參數無顯著差異(圖4),結合珊瑚蟲收縮現象,證實傳統代謝指標可能低估亞致死脅迫
3 驗證暴露條件可靠性:通過實時氧濃度監測,確保實驗期間光照/黑暗轉換條件嚴格受控,排除缺氧等混雜因素對毒性效應的干擾
4 技術比較優勢:相比破壞性生化分析,該非侵入式技術實現同個體多時間點監測,為長期毒性研究提供方法論基礎