熱線:021-66110810,66110819
手機:13564362870

熱線:021-66110810,66110819
手機:13564362870
Microbial fuel cell improves restoration of Hydrilla verticillata in an algae-rich sediment microcosm system
微生物燃料電池促進富藻沉積物微宇宙系統中黑藻的恢復
來源:Chemosphere 266 (2021) 128987
《化學圈》第266卷(2021年)文章編號128987
摘要內容:
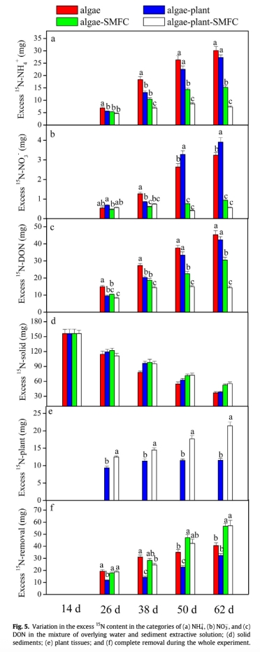
摘要指出沉積的藻類可為沉水植物提供養分,但其深層厭氧分解會抑制植物生長。沉積物微生物燃料電池(SMFC)可能促進藻源養分的利用并減輕其對黑藻(Hydrilla verticillata)的生物毒性。通過62天的微宇宙實驗(設置開路SMFC對照、植物、藻類、藻類+植物、藻類+SMFC、藻類+植物+SMFC六組),研究發現:1)黑藻的存在提升了SMFC產電性能(圖1a);2)產電過程通過改變藻類降解途徑(從乙酸裂解產甲烷轉向電化學還原)延緩藻分解(表1 CH?數據);3)在藻類緩慢分解期(14-38天),SMFC促進藻源無機碳和銨鹽向植物地上部分傳輸,提升黑藻生物量52.3%(圖2);4)在快速分解期(38-62天),SMFC減輕藻源銨鹽(NH??)對根系的毒性脅迫(圖6d-f),使沉積藻類成為穩定的植物營養源。






研究目的:
1. 探究產電作用(electrogenesis)對沉積藻類分解過程的影響
2. 評估SMFC能否通過調控藻源養分利用和毒性緩解促進沉水植物黑藻的恢復
研究思路:
1. 構建六組沉積物微宇宙系統:開路SMFC(對照)、植物(開路SMFC+黑藻)、藻類(開路SMFC+藻)、藻類+植物(開路SMFC+藻+黑藻)、藻類+SMFC(閉路SMFC+藻)、藻類+植物+SMFC(閉路SMFC+藻+黑藻)
2. 注入1?N標記藻類追蹤氮遷移(圖5)

3. 監測62天內電壓/電流(圖1)、孔隙水化學(表1)、植物生理(圖6)及微生物群落(圖3-4)


4. 分析藻分解兩階段(緩慢期14-38天 vs 快速期38-62天)中SMFC與植物的互作機制
測量數據、來源及研究意義:
1. 電化學數據(圖1)
? 測量內容:閉路電壓、陽極/陰極電位
? 來源:圖1a(電壓)、圖1b(電極電位)
? 意義:量化SMFC產電性能,揭示黑藻通過維持高陰極電位提升產電(平均電壓181.4 mV vs 137.7 mV),且與藻分解階段相關
2. 沉積物孔隙水指標(表1)
? 測量內容:Fe(II)、SO?2?、CH?、乙酸、草酸濃度
? 來源:表1(多時間點數據)
? 意義:證明SMFC將藻降解途徑從產甲烷轉向硫/鐵循環(CH?降低56.3%,Fe(II)/SO?2?升高),減少毒性產物積累
3. 1?N遷移軌跡(圖5)
? 測量內容:藻源氮在固相(沉積物)、液相(NH??/NO??/DON)、植物組織的分配
? 來源:圖5a-f
? 意義:揭示SMFC促進藻源氮向植物遷移(根區1?N吸收率提升),并通過厭氧氨氧化菌(如Candidatus Brocadia)強化脫氮
4. 植物生理響應(圖6)
? 測量內容:MDA(膜損傷標志)、SOD/POD(抗氧化酶)、游離氨基酸(FAA)、可溶性糖(SC)
? 來源:圖6a-g
? 意義:表明SMFC緩解快速分解期NH??脅迫(根區FAA降低,SC升高),維持碳氮代謝平衡
5. 微生物群落(圖3-4)
? 測量內容:陽極/陰極菌群結構(屬水平)
? 來源:圖3(陰極菌群)、圖4(陽極菌群)
? 意義:發現SMFC富集電活性菌(Rhodobacter)、脫氮菌(Denitratisoma)及根際促生菌(PGPRs如Bradyrhizobium),協同優化養分循環
結論:
1. 藻類緩慢分解期:SMFC提升藻源溶解性無機碳(DIC)和NH??向黑藻地上部分傳輸,促進光合碳同化,生物量增加52.3%
2. 藻類快速分解期:SMFC通過硫/鐵循環(富集Thiobacillus等)將代謝途徑從產甲烷轉向產電,延遲藻分解并減少NH??積累,減輕根系毒性
3. 微生物互作:SMFC增強根際固氮能力(PGPRs富集),促使沉積藻類從"毒素源"轉化為"穩定營養源",植物生物量較對照組提升90.1%
丹麥Unisense電極測量數據的詳細研究意義
1. OXY25穿刺氧電極
? 技術特點:25μm尖端直徑,4cm垂直剖面分辨率
? 研究意義:精準量化沉積物-水界面氧梯度,揭示黑藻根系泌氧(ROL)特征。數據顯示黑藻ROL較弱(相比狐尾藻),避免陽極電位損失,解釋其促進SMFC產電的機制(圖1b陰極電位差異)。
2. 孔隙水Fe(II)動態監測(Table 1)
? 技術特點:鄰菲羅啉分光光度法,高時空分辨率孔隙水采樣
? 研究意義:證實SMFC通過鐵循環介導電子傳遞——藻類降解產物驅動Fe(II)生成(藻+SMFC組Fe(II)達93.5 mg/L),Fe(II)作為電子穿梭體將電子傳遞至陽極,促進電流產生(與圖1a電壓上升階段同步)。
3. 界面氧通量關聯分析
? 技術應用:結合氧剖面與沉積物耗氧量(SOC)模型
? 研究意義:闡明SMFC未顯著改變總有機質礦化率,但通過界面氧通量提升(陰極區氧還原)緩解沉積物厭氧程度,減輕黑藻根系脅迫(支持圖6中SOD/POD活性變化)。