熱線:021-66110810,66110819
手機:13564362870

熱線:021-66110810,66110819
手機:13564362870
Electrogenic sulfide oxidation mediated by cable bacteria stimulates sulfate reduction in freshwater sediments
電纜細菌介導的電硫氧化促進淡水沉積物中硫酸鹽還原
來源:The ISME Journal, (2020) 14:1233–1246
《國際微生物生態學會雜志》,2020年,第14卷,第1233–1246頁
摘要核心內容
研究通過對比實驗(有氧 vs. 缺氧)探究電纜細菌在淡水沉積物中對硫循環的影響。核心發現:
1. 電纜細菌活動顯著提升硫酸鹽濃度:通過電硫氧化(e-SOx)直接氧化硫化物為硫酸鹽,溶解固態硫化物(如FeS),并利用電場促進硫酸鹽滯留,使沉積物硫酸鹽濃度增加3-10倍(圖2)。

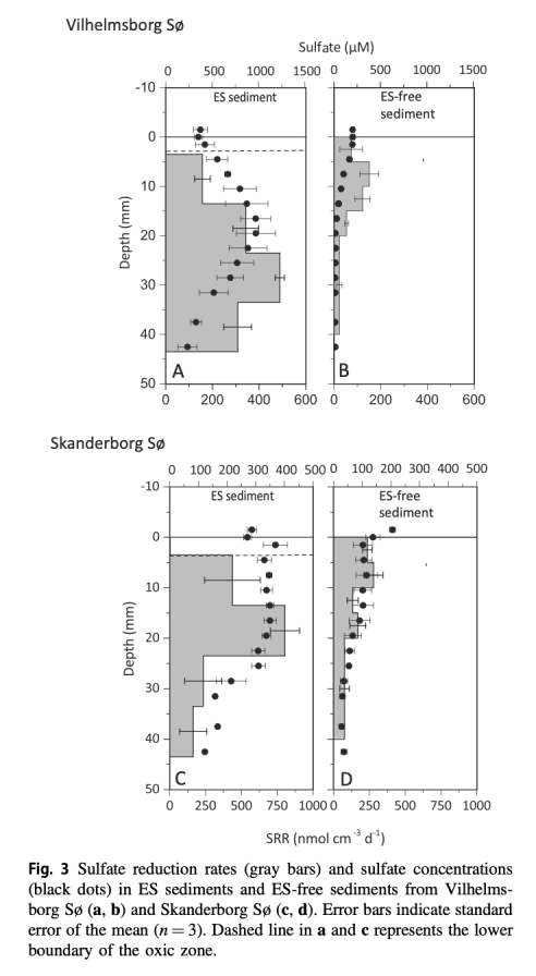
2. 刺激硫酸鹽還原:硫酸鹽還原率(SRR)在電纜細菌活躍沉積物中提高4.5倍(圖3),但硫酸鹽還原微生物(SRM)群落豐度與組成未顯著改變(圖5)。


3. 機制解析:電纜細菌通過緩解硫酸鹽限制(半飽和常數~100-200 μM),解除SRM的動力學限制,而非改變其群落結構。
研究目的
1. 驗證電纜細菌能否通過e-SOx提升淡水沉積物中硫酸鹽可用性;
2. 探究硫酸鹽濃度升高對SRM活性的影響;
3. 分析電纜細菌與SRM的互作關系及其對硫循環的調控作用。
研究思路
1. 實驗設計:
? 采集丹麥兩富營養化湖泊(Vilhelmsborg S?, Skanderborg S?)沉積物,建立有氧(促電纜細菌)和缺氧(抑制電纜細菌)微宇宙。
? 監測時間:6周,對比兩組沉積物的地球化學與微生物參數。
2. 多參數測量:
? 電化學與化學剖面:電位(EP)、O?、H?S、pH微電極剖面(圖1);

? 硫酸鹽分布:孔隙水硫酸鹽濃度(圖2);
? 代謝速率:硫酸鹽還原率(SRR,3?S示蹤法,圖3);
? 微生物群落:SRM豐度(qPCR)和組成(dsrB基因測序,圖5)。
3. 模型驗證:反應-傳輸模型量化硫酸鹽凈生產/消耗(圖4)及離子通量(圖6)。


測量數據及研究意義
1. 電位(EP)與化學剖面(圖1)
? 數據:有氧組EP梯度達15.6 mV(Vilhelmsborg)和12.7 mV(Skanderborg),缺氧組無顯著梯度;有氧組pH呈表堿(~8.6)深酸(<6.5)兩極分化。
? 意義:證實電纜細菌形成厘米級電子傳遞,驅動亞氧化區(O?與H?S缺失),為e-SOx提供直接證據。
2. 硫酸鹽濃度(圖2)
? 數據:有氧組硫酸鹽庫存較缺氧組高3-10倍(如Vilhelmsborg:27.5 vs. 2.2 mmol m?2)。
? 意義:e-SOx直接增加硫酸鹽供給,破解淡水沉積物硫酸鹽限制難題。
3. 硫酸鹽還原率(SRR,圖3)
? 數據:有氧組SRR較缺氧組高3-4.5倍(如Skanderborg:16.4 vs. 5.6 mmol m?2 d?1)。
? 意義:硫酸鹽濃度與SRR顯著正相關(r=0.69-0.76),證實電纜細菌通過提升底物濃度刺激SRM代謝活性。
4. SRM群落分析(圖5)
? 數據:有氧組與缺氧組SRM豐度、豐富度及多樣性無顯著差異;電纜細菌dsrB基因占比<0.8%。
? 意義:SRR提升源于SRM代謝激活,而非群落結構改變,排除電纜細菌自身還原硫酸鹽的貢獻。
結論
1. 三重硫酸鹽提升機制:電纜細菌通過(1)e-SOx直接產硫酸鹽;(2)酸化溶解固態硫化物;(3)電場滯留硫酸鹽,顯著增加硫酸鹽可用性。
2. SRM代謝激活:硫酸鹽濃度升高解除SRM動力學限制,SRR提升4.5倍,但群落結構穩定。
3. 生態互作:電纜細菌與SRM形成互利關系——電纜細菌供硫酸鹽,SRM供硫化物,共同放大硫循環。
丹麥Unisense電極測量數據的研究意義
1. 厘米級電子傳遞量化:
? EP微電極(分辨率500 μm)記錄到15.6 mV電位梯度(圖1a,c),換算電場強度達1.0 V m?1,直接證實電纜細菌在淡水沉積物中實現長距離電子傳遞。
2. 代謝分區可視化:
? O?/H?S/pH聯測揭示"表層O?還原-深層H?S氧化"的空間解耦代謝(圖1a,c),為e-SOx提供原位證據。
3. 酸化驅動溶解機制:
? pH剖面顯示深層pH<6.5(圖1a,c),結合固態硫化物溶解現象,解釋硫酸鹽來源(FeS + 2H? → Fe2? + H?S)。
4. 離子運移解析:
? 結合EP與硫酸鹽梯度,量化電場對SO?2?的向下漂移通量(圖6),揭示硫酸鹽滯留新機制。