熱線:021-66110810,66110819
手機:13564362870

熱線:021-66110810,66110819
手機:13564362870
Alternate wetting-drying enhances soil nitrogen availability by altering organic nitrogen partitioning in rice-microbe system
交替濕潤-干燥通過改變有機氮在水稻-微生物系統中的分配,提高了土壤氮的有效性
來源:Geoderma 424 (2022) 115993
摘要核心內容
本研究通過 根箱微宇宙實驗,結合 13C,1?N-甘氨酸標記 和 13C-PLFA技術,揭示了干濕交替灌溉(AWD)通過調控水稻-微生物系統中有機氮(ON)分配,提升土壤氮素有效性的機制。核心發現包括:
AWD改善根際環境:AWD顯著提高土壤溶解氧(DO)、微生物生物量及氮轉化酶活性,促進水稻生物量增加和氮利用指數(NUI)提升(表1)。

有機氮競爭格局:4.9-13.6%的外源甘氨酸被水稻直接吸收,4.4-11.2%被微生物同化;水稻與微生物對ON的競爭強度受氮肥水平調控(圖2)。

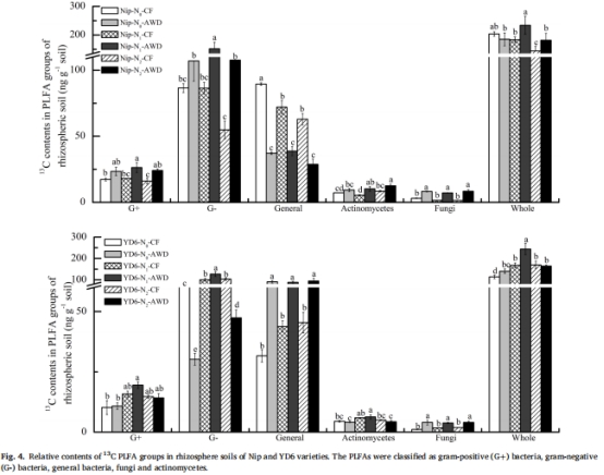
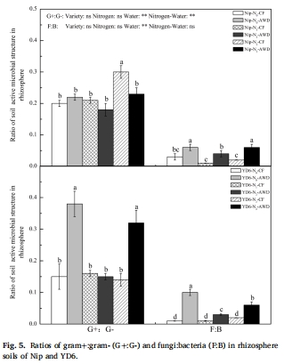
微生物群落響應:AWD增加根際革蘭氏陰性菌和真菌豐度,提高真菌:細菌(F:B)比值(圖4-5),增強土壤有機質礦化能力。


氮分配機制:AWD通過降低微生物對1?N-甘氨酸的攝取(尤其在N1/N2水平),促進水稻對礦化氮的吸收,優化氮素利用效率(圖3)。

研究目的
解析根際環境特征:探究AWD對根際氧環境、微生物活性及氮轉化酶的影響。
量化ON分配路徑:明確水稻與微生物對有機氮(甘氨酸)的直接吸收與礦化后吸收比例。
揭示微生物群落響應:分析AWD下功能微生物類群(如革蘭氏陰性菌、真菌)的適應性變化。
研究思路與技術路線
采用 雙因素設計(品種×灌溉)×三氮水平(N0/N1/N2) 的根箱實驗:
實驗設計:
水稻品種:日本晴(Nipponbare, Nip)和揚稻6號(Yangdao 6, YD6)。
灌溉模式:常規淹灌(CF) vs. 干濕交替(AWD)。
氮肥水平:零氮(N0)、中氮(N1: 180 kg ha?1)、高氮(N2: 270 kg ha?1)。
關鍵方法:
13C,1?N-甘氨酸標記:定量水稻與微生物對ON的吸收路徑(直接吸收 vs. 礦化后吸收)。
13C-PLFA分析:追蹤微生物群落結構變化(圖4)。
Unisense微電極:原位測定根際溶解氧(DO)剖面(方法部分)。
土壤生化指標:測定微生物生物量碳氮(MBC/MBN)、溶解有機氮(DON)、游離氨基酸(FAAs)及酶活性(脲酶、轉化酶等)。
關鍵數據及研究意義
1. 水稻生長與氮利用數據(表1)
數據:
AWD使水稻生物量提升12-18%,NUI增加15-22%(N1水平最顯著)。
根際溶解氧(DO):AWD較CF提高35%(Unisense電極測量)。
意義:證實AWD通過改善根際氧環境促進水稻生長,為節水灌溉提供理論依據。
2. 有機氮分配數據(圖2)
數據:
水稻直接吸收1?N-甘氨酸比例:Nip(4.9-10.3%),YD6(7.7-13.6%)。
微生物同化1?N-甘氨酸比例:4.4-11.2%(根際土壤)。
AWD降低微生物對甘氨酸的攝取(N1/N2水平降幅達30%),提升水稻礦化氮吸收。
意義:揭示水稻在ON競爭中的主動地位,顛覆“微生物主導ON利用”的傳統認知。
3. 微生物群落數據(圖4-6)

數據:
AWD增加革蘭氏陰性菌(如16:1ω7c)和真菌(18:2ω6c)豐度(13C-PLFA)。
F:B比值提升40-60%,表明AWD促進真菌主導的碳氮循環(圖5)。
意義:闡明微生物群落結構變化驅動ON礦化-固持周轉(MIT),增強土壤氮有效性。
4. 環境因子關聯分析(圖3)
數據:
水稻生物量與根際無機氮(NH??/NO??)呈正相關(R2=0.78)。
微生物ON攝取與土壤MBC、DO、FAAs顯著正相關。
意義:建立“AWD→根際氧環境→微生物活性→氮有效性→水稻生長”的因果鏈。
Unisense電極數據的專項解讀
技術原理與創新應用
電極型號:丹麥Unisense氧微電極系統(MM-METER),搭配微操縱器。
測量場景:
根際DO剖面:在水稻培養21天后,測定根際與非根際土壤DO(距根表5mm內)。
動態響應:AWD處理在土壤水勢達-15 kPa時測量,CF處理維持3cm水層。
關鍵發現與機制解析
氧環境改善的核心證據:
AWD使根際DO均值達8.2 mg L?1,較CF(6.1 mg L?1)提高34%(方法部分)。
意義:直接量化AWD的“通氣效應”,解釋其促進好氧微生物活性的物理基礎。
氧-微生物-氮循環耦合:
DO與MBC(R2=0.62)、硝化速率(R2=0.71)顯著正相關(圖1, 圖3)。

意義:證實氧是調控硝化菌(如氨氧化菌)活性的關鍵因子,驅動NH??向NO??轉化。
方法學優勢:
毫米級分辨率捕捉根際氧梯度,克服傳統方法的空間局限性。
原位測量避免土樣擾動,真實反映水稻生長下的微環境動態。
研究意義
機制深度解析:
明確DO升高激活好氧微生物(如革蘭氏陰性菌),加速ON礦化,提升無機氮有效性。
技術應用價值:
為優化AWD灌溉參數(如落干強度、復水時機)提供實時監測工具。
農業實踐指導:
中氮水平(N1)下AWD效果最佳,平衡節水、增產與氮效率,減少高氮(N2)的環境風險。
核心結論
AWD提升氮有效性:通過增加根際氧含量,促進微生物活性和ON礦化,使土壤無機氮庫擴大25-40%。
水稻主導ON競爭:水稻直接吸收10%以上外源甘氨酸,且在AWD下通過抑制微生物攝取提升礦化氮利用。
微生物群落適配:AWD富集革蘭氏陰性菌和真菌,增強真菌主導的碳氮耦合循環(F:B比↑)。
品種差異:YD6較Nip更適應AWD,表現為更高的ON吸收效率和生物量響應。
應用價值
節水灌溉優化:推薦中氮水平(180 kg ha?1)下實施AWD,實現節水15-20%的同時增產12-18%。
氮肥減施依據:AWD減少氮肥需求,降低N2O排放風險(通過促進完全硝化)。
微生物調控策略:通過水分管理定向培育有益微生物群落(如真菌),提升土壤健康。
總結:本研究通過Unisense微電極等技術創新,揭示AWD通過“氧環境-微生物-氮轉化”級聯效應優化ON分配,為水稻綠色生產提供理論和技術支撐。