熱線:021-66110810,66110819
手機:13564362870

熱線:021-66110810,66110819
手機:13564362870
The Effects and Mechanisms of pH and Dissolved Oxygen Conditions on the Release of Arsenic at the Sediment-Water Interface in Taihu Lake
pH和溶解氧條件對太湖沉積物-水界面砷釋放的影響與機制
來源:Toxics 2023, 11, 890
《毒理學》2023年 第11卷 文章編號:890
摘要內容
摘要指出:pH和溶解氧(DO)是控制沉積物-水界面砷(As)遷移的關鍵環境因子。本研究通過室內模擬實驗,分析不同DO(高氧/低氧)和初始pH(6.2、7.5、9.5)條件下太湖沉積物中鐵錳硫砷的動態變化。沉積物對水體pH的強緩沖作用使上覆水pH趨向中性;DO水平是砷釋放的關鍵因素,低DO環境下砷的釋放量和速率均高于高DO環境。在低DO和pH 9.5條件下,離子交換與厭氧還原的協同作用導致砷釋放最顯著。低DO條件下形成的無定形硫化亞鐵化合物是孔隙水砷濃度升高的重要機制。
研究目的
揭示淺水湖沉積物-水界面砷的釋放特征及其驅動機制,闡明pH和DO耦合作用對砷遷移轉化的影響,為淺水湖砷污染風險防控提供科學依據。
研究思路
實驗設計:
采集太湖竺山灣沉積物,設置高DO(5-7 mg/L)和低DO(<1 mg/L)組,分別調節初始pH為6.2、7.5、9.5。
采用透明有機玻璃柱模擬沉積物-水界面,持續培養30天,定期監測孔隙水和上覆水理化指標。
技術方法:
微電極系統(丹麥Unisense):原位測定沉積物Eh和pH剖面(圖1-2)。

化學分析:ICP-MS/HPLC-ICP-MS測定溶解態As、Fe、Mn、S濃度及As形態(As(III)/As(V))(圖3-9)。





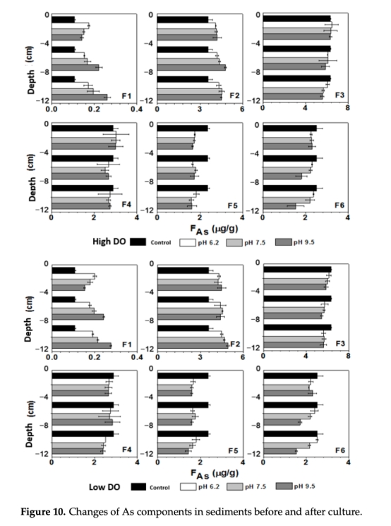
沉積物表征:XRF分析總砷/鐵/錳含量;連續提取法分析砷賦存形態(圖10)。

數據分析:
結合離子積常數計算(表3-4)和相關性分析(表2),闡明無定形硫化亞鐵形成與砷釋放的關系。


通過砷形態轉化(圖7)與沉積物組分變化(圖10-11),揭示釋放機制。

測量數據及研究意義
沉積物Eh/pH剖面:
數據來源:圖1(Eh)、圖2(pH)。
意義:低DO下沉積物Eh降至-125 mV(pH 9.5組),證實強還原環境促進鐵錳氧化物還原溶解,驅動砷釋放。
溶解態Fe/Mn/S濃度:
數據來源:圖3(Fe)、圖4(Mn)、圖5(S)、圖6(上覆水濃度)。
意義:低DO下溶解Fe/Mn峰值達5.65 mg/L和13.79 mg/L(pH 9.5),證明鐵錳還原溶解是砷釋放的主要途徑;溶解S濃度升高(0.41 mg/L)指示硫酸鹽還原參與砷遷移。
砷形態與濃度:
數據來源:圖7(As(III)/As(V))、圖8(孔隙水總砷)、圖9(上覆水總砷及形態)。
意義:低DO下孔隙水As(III)/As(V)比值達5.20(pH 9.5),表明厭氧還原促進高毒性As(III)生成;上覆水砷濃度升高至11.25 μg/L(圖9),量化釋放強度。
沉積物砷組分:
數據來源:圖10(賦存形態分布)。
意義:低DO下可交換態砷(F1+F2)占比升至26.7%,鐵錳氧化物結合態砷(F3+F4)減少9.2%,明確釋放源為鐵錳氧化物還原溶解(圖11)。
累積釋放速率:
數據來源:表5(rAs, rFe, rMn, rS)。

意義:低DO+pH 9.5組砷釋放速率最高(0.083 mg/(m2·d)),量化多因子協同效應。
結論
pH緩沖效應:沉積物使上覆水pH趨向中性(初始pH 9.5組降至7.47-8.71),削弱堿性對砷釋放的直接作用。
DO主導釋放:低DO環境砷釋放量顯著高于高DO(上覆水濃度高3.2倍),主因鐵錳氧化物還原溶解(Fe/Mn與As濃度顯著正相關,表2)。
關鍵協同機制:低DO+pH 9.5條件下,離子交換(OH?競爭吸附)與厭氧還原(As(V)→As(III))協同作用導致最大釋放(孔隙水砷71.31 μg/L);無定形硫化亞鐵形成(pK(FeS)<10.05,表3)削弱砷吸附能力,進一步促進釋放。
Unisense電極數據的詳細解讀
丹麥Unisense微電極測量的沉積物Eh和pH剖面數據具有以下核心研究意義:
量化氧化還原梯度:
Eh剖面(圖1)顯示低DO組沉積物深層(>3 cm)Eh降至-125 mV,明確界定砷還原區(As(V)→As(III)需Eh<+100 mV),解釋As(III)/As(V)比值升高(圖7)。
揭示pH緩沖機制:
pH剖面(圖2)顯示初始pH 9.5組沉積物表層(0-2 cm)pH從9.5降至8.71,證實沉積物對堿性條件的緩沖能力,闡明堿性環境中砷釋放受抑制的原因。
關聯鐵錳還原深度:
Eh-pH耦合數據定位Fe/Mn-OOH還原深度(Eh拐點處),與溶解Fe/Mn峰值深度匹配(圖3-4),證明鐵錳還原是砷釋放的直接驅動力。
預測砷釋放熱點:
微米級分辨率揭示表層氧化層(Eh>+300 mV)與深層還原區(Eh<+100 mV)的界面為砷釋放活躍區,指導污染風險重點防控區域。