熱線:021-66110810,66110819
手機:13564362870

熱線:021-66110810,66110819
手機:13564362870
The influence of shellfish farming on sedimentary organic carbon mineralization: A case study in a coastal scallop farming area of Yantai, China
貝類養殖對沉積有機碳礦化的影響:以中國煙臺扇貝養殖區為例
來源:Marine Pollution Bulletin, 182 (2022) 113941
《海洋污染通報》,第182卷,2022年,文章編號:113941
摘要內容
摘要研究了煙臺扇貝養殖區沉積有機碳(OC)礦化的速率和途徑,發現筏式養殖設施導致OC和活性Fe(III)積累增加,促進了好氧礦化、鐵還原,并競爭性抑制硫酸鹽還原。在扇貝養殖區(SFA),O?還原、異化鐵還原和硫酸鹽還原分別貢獻總OC礦化的32.17%、27.77%和30.18%,分別為非養殖區(NFA)的1.6倍、1.2倍和0.6倍。扇貝收獲和水流再懸浮會短期增加水體溶解無機碳(DIC)累積風險。碳收支表明該區域OC礦化強于埋藏,僅5.0-7.2%的凈沉降OC被永久埋藏。
研究目的
量化煙臺沿海扇貝養殖區沉積有機碳礦化的速率與路徑貢獻,闡明貝類養殖活動對沉積環境碳循環的影響機制。
研究思路
采樣設計:在扇貝養殖區(SFA1、SFA2)和非養殖區(NFA)采集未擾動沉積物巖芯(圖1)。

現場測量:使用丹麥Unisense微電極測定沉積物-水界面的O?剖面(圖4)。

實驗室分析:
剖面分層:測定孔隙度、干密度、固體相TOC、TN、Fe、Mn(IV)(圖3)及孔隙水DIC、ΣH?S、Mn2?、Fe2?、NH??、NO??、SO?2?(圖2)。


厭氧培養:分層混合沉積物進行31天厭氧培養,監測DIC、Ca2?、Mn2?、SO?2?和固體Fe(II)的動態變化(圖5)。

速率計算:
好氧呼吸:基于O?消耗剖面計算擴散O?吸收速率(DOU)(表2)。

厭氧路徑:通過線性回歸分析培養數據,計算硫酸鹽還原率(SRR)、異化鐵還原率(DFeRR)和錳還原率(MnRR)(表3)。

碳收支模型:整合初級生產力、陸源輸入、水體礦化、沉積物礦化和埋藏通量(圖7,表5)。


測量數據及研究意義
O?微剖面數據(圖4,表2)
數據:使用Unisense電極測量溶解O?濃度剖面,計算DOU和O?消耗速率。
意義:直接量化好氧呼吸對OC礦化的貢獻(SFA占比>30%),揭示養殖區表層沉積物因OC積累導致O?快速消耗。
孔隙水地球化學數據(圖2)
數據:DIC、ΣH?S、Mn2?、Fe2?、NH??、NO??、SO?2?的深度分布。
意義:反映氧化還原分帶特征(如ΣH?S峰值深度指示硫酸鹽還原活躍區),為厭氧路徑提供環境背景。
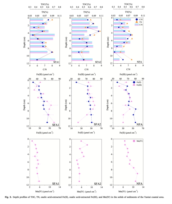
固體相參數(圖3)
數據:TOC、TN、草酸提取Fe(II)/Fe(III)、Mn(IV)含量。
意義:高TOC和Fe(III)證實養殖促進有機質和活性鐵積累,競爭性抑制硫酸鹽還原(SFA硫酸鹽還原貢獻僅30%,NFA達48.5%)。
厭氧培養動態數據(圖5,表3)
數據:DIC、Ca2?、Mn2?、SO?2?、Fe(II)隨時間變化。
意義:
DIC累積速率計算厭氧礦化速率(表4)。

SO?2?下降斜率計算SRR,Fe(II)上升斜率計算DFeRR(表3),揭示鐵還原在SFA主導中層沉積物礦化(貢獻>56%)。
碳收支參數(表5)
數據:干密度、孔隙度、沉積速率、TOC,結合礦化速率計算埋藏通量。
意義:量化養殖區碳歸宿(僅7.2%凈沉降OC被埋藏),凸顯礦化主導的碳循環特征。
結論
扇貝養殖促進沉積物OC積累和活性Fe(III)增加,導致好氧礦化速率升高(SFA的DOU達10.26–12.62 mmol O? m?2 d?1,NFA為6.8 mmol O? m?2 d?1)。
高Fe(III)含量使異化鐵還原成為關鍵礦化路徑(SFA貢獻27.77%),競爭性抑制硫酸鹽還原(SFA貢獻30.18%,NFA為48.53%)。
碳收支顯示煙臺沿岸OC礦化強于埋藏(埋藏效率僅5.0–7.2%),扇貝收獲可能短期增加DIC釋放風險。
Unisense電極數據的詳細研究意義
使用丹麥Unisense O?微電極(檢測限0.3 μM)測量沉積物O?剖面(圖4),通過擬合消耗速率曲線劃分三層:
表層(0–1 cm):O?快速消耗反映好氧呼吸和還原性無機物(如H?S、Fe2?)再氧化。
意義:
直接量化養殖區因OC富集導致的好氧呼吸增強(SFA貢獻32.17%,NFA為20.21%)。
確定O?滲透深度(SFA僅2.5–2.7 mm,NFA為4.4 mm),揭示養殖活動加劇沉積物表層缺氧。
支持DOU計算(表2),為碳收支模型提供關鍵好氧礦化通量參數。