熱線:021-66110810,66110819
手機:13564362870

熱線:021-66110810,66110819
手機:13564362870
Exploring the effects of intermittent aeration on the performance of nitrifying membrane-aerated biofilm reactors
間歇曝氣對硝化膜曝氣生物膜反應器性能影響的探索
來源:Science of the Total Environment, Volume 891, 2023, Article 164329
《總體環境科學》,第891卷,2023年,文章編號164329
摘要內容
摘要指出,膜曝氣生物膜反應器(MABR)在脫氮效率與氧傳遞效率(OTE)之間存在平衡問題。本研究通過對比連續曝氣(Rc)和間歇曝氣(Ri1:8小時周期,Ri2:0.5小時周期)的MABR運行模式,發現間歇曝氣能在低氧分壓(停曝期降至0.05 atm)下維持高硝化速率(2.6–2.8 gN m?2 d?1),且N?O排放量(占轉化氨氮的17–22%)不受曝氣模式影響。高頻間歇曝氣(Ri2)顯著提升藥物阿替洛爾的去除率,但對磺胺甲惡唑去除無影響。宏基因組分析表明,間歇曝氣富集了低氧適應的Nitrosospira菌屬,并提高了微生物多樣性。
研究目的
解決MABR技術中硝化速率與氧傳遞效率的權衡問題,探索間歇曝氣對硝化性能、N?O排放及痕量有機物(TOrCs)去除的影響,為優化MABR能效提供依據。
研究思路
實驗設計:三組實驗室規模平板MABR(Rc連續曝氣、Ri1低頻間歇曝氣[4小時開/4小時關]、Ri2高頻間歇曝氣[15分鐘開/15分鐘關]),進水為無有機碳的合成污水(50 mg NH??-N L?1),添加9種痕量有機物(TOrCs)。
長期運行監測:持續385天,監測硝化速率、氧分壓、N?O排放及TOrCs去除(圖1-2,表1)。



批次實驗:評估TOrCs降解動力學(圖4,表2),并探究抑制劑(ATU)和缺氧條件對TOrCs去除的影響。


微生物分析:通過16S rRNA測序解析生物膜群落結構(圖5)。

機制關聯:結合氧傳遞效率(OTE)計算與微生物數據,揭示間歇曝氣的優化機制。
測量數據及其研究意義
硝化速率(NR)(圖2/表1)
數據:Rc、Ri1、Ri2的NR分別為2.6、2.8、2.8 gN m?2 d?1。
意義:證實間歇曝氣在停曝期氧分壓驟降(Ri1降至0.05 atm)下仍維持高硝化速率,突破OTE與NR的權衡限制。
N?O排放通量(表1)
數據:N?O排放占總轉化氨氮的17–22%,其中70%通過液相釋放。
意義:停曝期N?O在膜內積累,復曝后集中釋放,異養反硝化(內源碳驅動)貢獻超50%排放量。
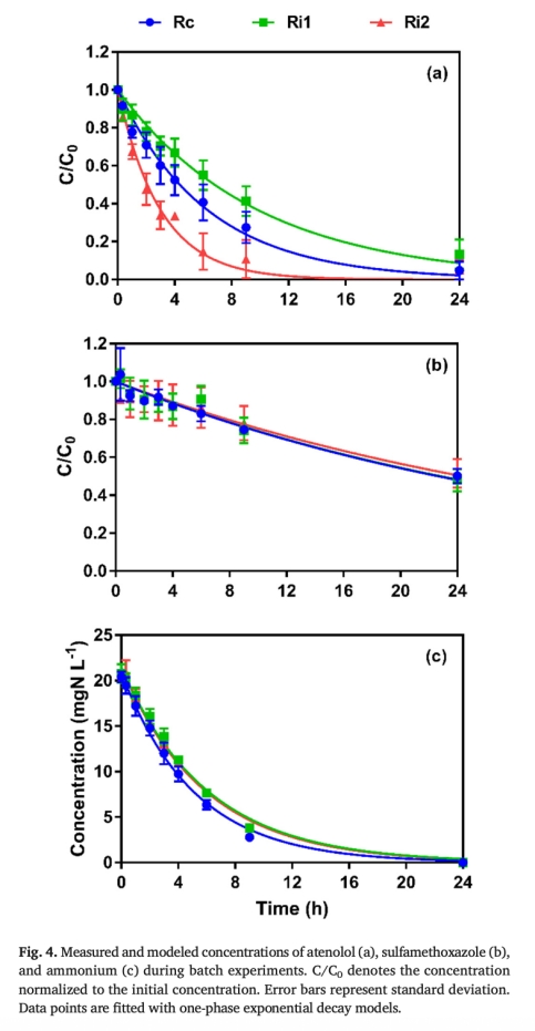
TOrCs去除動力學(圖4/表2)
數據:阿替洛爾生物降解速率常數(kbio)在Ri2最高(3.87 L gVSS?1 d?1),磺胺甲惡唑無差異。
意義:高頻間歇曝氣提升阿替洛爾去除,異養菌主導降解而非硝化菌。
微生物群落(圖5)
數據:間歇曝氣富集Nitrosospira(Ri2占AOB的33%),連續曝氣以Nitrosomonas europaea為主(34%)。
意義:Nitrosospira的低氧適應性支持停曝期的高效硝化,群落多樣性升高(Ri1/Ri2 > Rc)。
氧傳遞效率(OTE)(計算值)
數據:OTE僅0.2–0.4%(因高氣流量),但理論推算間歇曝氣可提至75%。
意義:通過縮短曝氣時長(僅補充新鮮空氣),OTE和曝氣能效(gO? kWh?1)可倍增。
丹麥Unisense微電極數據的意義
研究中使用的Unisense N?O-R微電極(連接PA2000皮安計)實現液相N?O的高頻監測(每60秒記錄)。其核心價值在于:
高時空分辨率:捕捉停曝期N?O在膜內積累動態,揭示70% N?O通過液相排放的關鍵機制(表1),挑戰“氣態主導排放”的傳統認知。
量化異養貢獻:結合抑制劑實驗(ATU抑制硝化),證實液相N?O峰值與異養反硝化相關(內源碳驅動),非硝化菌主導。
工藝優化依據:實時N?O數據指導曝氣周期設計(如Ri2高頻模式減少積累),為減排策略提供實證。
結論
氧傳遞效率突破:間歇曝氣使MABR在停曝期氧分壓降至0.05 atm時仍維持高硝化速率,OTE理論可提至75%(較傳統提2倍以上),顯著降低能耗。
N?O排放機制:曝氣模式不影響總N?O排放量(占轉化氨氮17–22%),但70%通過液相釋放,異養反硝化(內源碳驅動)為主要貢獻者。
TOrCs去除選擇性:高頻間歇曝氣(Ri2)顯著提升阿替洛爾去除率(kbio提高109%),磺胺甲惡唑不受影響,異養菌主導降解。
微生物適應性:間歇曝氣富集低氧適應菌屬Nitrosospira(相對豐度33%),提高生物膜多樣性,支撐停曝期的功能穩定性。
工程應用:通過優化曝氣周期(如Ri2的0.5小時循環),MABR可在維持脫氮性能的同時實現能效升級。