熱線:021-66110810,66110819
手機:13564362870

熱線:021-66110810,66110819
手機:13564362870
Defense System of the Manila Clam Ruditapes philippinarum under High-Temperature and Hydrogen Sulfide Conditions
高溫和硫化氫條件下馬尼拉蛤(Ruditapes philippinarum)的防御系統
來源:Biology, volume 12, article number 278, 2023.
《生物學》第12卷,文章編號278,2023年
摘要內容
研究探究了高溫(24°C、28°C、32°C)和硫化氫(H?S,0–40 μmol/L)雙重脅迫對馬尼拉蛤生存、行為及生理防御策略的影響。結果表明:
行為防御:低溫(24°C)或低H?S濃度(≤10 μmol/L)下,蛤類初期通過開殼增強攝氧(行為評分升高);隨脅迫時間延長轉為閉殼被動防御。高溫(≥28°C)與高H?S(≥20 μmol/L)協同脅迫時,蛤類立即閉殼。
生理防御:
呼吸代謝:初期激活細胞色素C氧化酶(CCO)以維持有氧代謝;脅迫延長后,CCO活性受抑(H?S抑制酶活性),轉而激活延胡索酸還原酶(FRD)啟動無氧代謝。
抗氧化系統:超氧化物歧化酶(SOD)和過氧化氫酶(CAT)活性隨H?S濃度升高先升后降,高溫加速其活性衰退。
細胞損傷:高H?S(≥20 μmol/L)與高溫(≥28°C)導致線粒體嵴溶解、內質網擴張及肌絲紊亂(透射電鏡觀察),損傷不可逆。
協同效應:高溫(32°C)使H?S半致死時間(LT??)縮短50%以上,表明溫度升高顯著降低蛤類對H?S的耐受閾值。
研究目的
闡明馬尼拉蛤在H?S脅迫下的行為與生理防御策略。
揭示高溫如何改變蛤類對H?S的響應機制。
評估雙重脅迫對蛤類細胞結構的損傷程度,為水產養殖逆境管理提供依據。
研究思路
脅迫設計:設置3溫度(24°C、28°C、32°C) × 4 H?S濃度(0、10、20、40 μmol/L),持續96小時。
多維度監測:
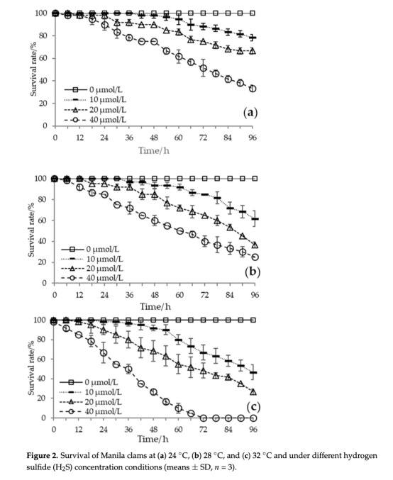
生存率與行為:記錄死亡率(圖2)、開閉殼行為評分(圖3)。


生理響應:檢測CCO(有氧代謝)、FRD(無氧代謝)、SOD、CAT(抗氧化)酶活性(圖4–5)。


細胞損傷:透射電鏡觀察鰓、足、閉殼肌超微結構(圖6)。

數據分析:通過多因素方差分析評估溫度、H?S濃度、時間的交互效應。
測量數據、來源及研究意義
生存率與LT??(圖2):
數據:32°C + 40 μmol/L H?S組96小時死亡率100%,LT??僅33.83小時。
意義:量化高溫與H?S的協同致死效應,為養殖預警提供閾值(如28°C時H?S安全濃度<10 μmol/L)。
行為評分(圖3):
數據:高溫(32°C)下蛤類在H?S≥20 μmol/L時立即閉殼(評分驟降至0)。
意義:行為變化是脅迫響應的先兆指標,閉殼行為可減少H?S攝入但限制攝氧。
酶活性動態(圖4–5):
CCO(圖4a–c):H?S≥20 μmol/L時活性顯著抑制(高溫加劇抑制),表明有氧代謝受阻。
FRD(圖4d–f):無氧代謝代償性增強,但高溫下持續時間縮短。
SOD/CAT(圖5):高溫(32°C)+高H?S(40 μmol/L)導致抗氧化酶活性早期峰值后快速衰退,反映氧化損傷失控。
意義:揭示代謝途徑轉換(有氧→無氧)和抗氧化系統崩潰是死亡的關鍵生理機制。
超微結構損傷(圖6):
數據:線粒體嵴溶解、肌絲排列紊亂、大量空泡形成。
意義:從細胞層面解釋行為異常(如閉殼肌損傷導致開閉障礙)和代謝衰竭。
丹麥Unisense電極測量數據的研究意義
實驗中采用Unisense微電極系統實時監測H?S濃度,其核心價值在于:
精準控制脅迫環境:
動態調節Na?S母液流速,維持實驗槽H?S濃度誤差<1 μmol/L(實測值:目標濃度±0.1–0.5 μmol/L)。
解決H?S易氧化、濃度不穩定的技術難點,確保脅迫條件的可重復性。
關聯行為與生理響應:
精確的濃度數據證實:H?S≥20 μmol/L是行為防御策略(開殼→閉殼)轉變的臨界點(圖3),并觸發代謝途徑轉換(CCO抑制→FRD激活,圖4)。
支撐毒性機制解析:
明確H?S濃度梯度與細胞損傷的劑量效應:40 μmol/L H?S直接導致線粒體嵴溶解(圖6b),為H?S抑制呼吸鏈酶提供結構證據。
結論
雙重脅迫加劇毒性:高溫(≥28°C)使H?S毒性倍增,32°C + 40 μmol/L H?S組LT??較24°C組降低54.5%。
防御策略動態調整:
低脅迫下:優先行為防御(開殼增氧)→生理防御(有氧代謝)。
高脅迫下:立即行為防御(閉殼)→無氧代謝 + 抗氧化激活 → 系統崩潰。
不可逆損傷:高H?S + 高溫導致線粒體空泡化、肌絲溶解,損傷蛤類攝食與運動能力,產生"后遺癥"。
養殖啟示:夏季高溫期需嚴格控制底泥H?S濃度(建議<10 μmol/L),避免協同脅迫引發大規模死亡。